网罗天下图书 传承中华文明
     
为读者找书,为书找读者.... 本馆宗旨--传承中华文化!
 
联系QQ:83790508,联系微信:zx135cn
 
| 网站首页 | 史料文献 | 常用软件 | 联系我们 |
 
 

文津阁四库全书书画艺术文献汇编

 

介绍


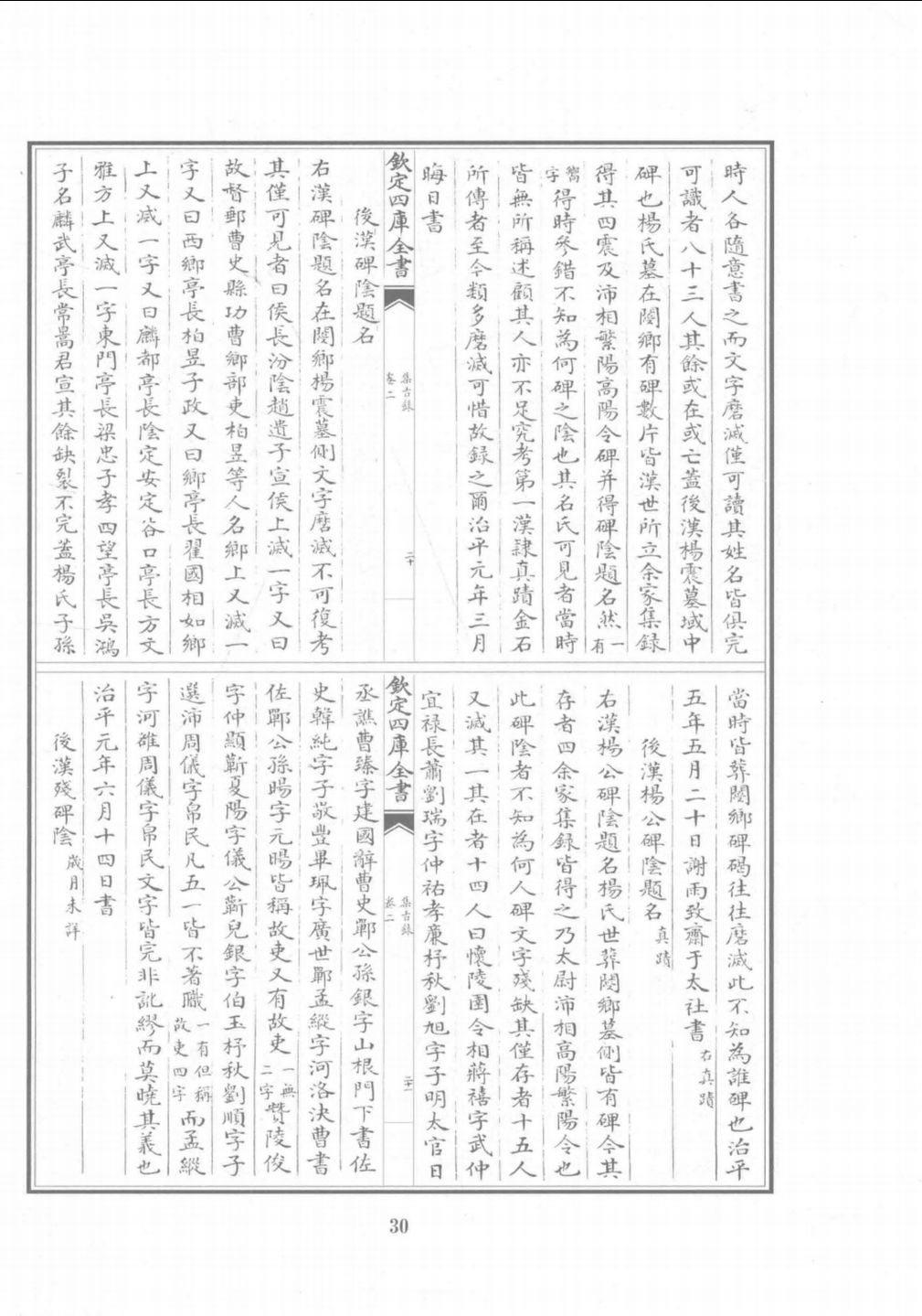
文津阁四库全书书画艺术文献汇编(全50册)

资料编号:KW6205

文件格式:PDF

文件大小:9.90G

作者: 欧阳中石 主编

出版社: 商务印书馆

出版时间: 2009

介绍:

本书共计收录一百四十三种,按《四库全书》原书先后次序进行排列,分装五十册,特编卷首,完以汇编前言及《文津阁四库全书》所收书画文献阁本提要。

目录介绍如下:

├─文津阁四库全书书画艺术文献汇编-1 (0 folders, 16 files, 3.34 GB, 3.34 GB in total.)
│000文津阁四库全书书画艺术文献汇编 卷首_14034800.pdf 147.86 MB
│001文津阁四库全书书画艺术文献汇编 第一册_14034838.pdf 183.12 MB
│002文津阁四库全书书画艺术文献汇编 第二册_14034839.pdf 187.53 MB
│003文津阁四库全书书画艺术文献汇编 第三册_14034840.pdf 252.42 MB
│004文津阁四库全书书画艺术文献汇编 第四册_14034841.pdf 203.65 MB
│005文津阁四库全书书画艺术文献汇编 第五册_14034842.pdf 217.70 MB
│006文津阁四库全书书画艺术文献汇编 第六册_14034843.pdf 258.88 MB
│007文津阁四库全书书画艺术文献汇编 第七册_14034844.pdf 233.58 MB
│008文津阁四库全书书画艺术文献汇编 第八册_14034845.pdf 185.31 MB
│009文津阁四库全书书画艺术文献汇编 第九册_14034846.pdf 212.51 MB
│010文津阁四库全书书画艺术文献汇编 第十册_14034847.pdf 220.40 MB
│011文津阁四库全书书画艺术文献汇编 第十一册_14034848.pdf 209.02 MB
│012文津阁四库全书书画艺术文献汇编 第十二册_14034849.pdf 211.39 MB
│013文津阁四库全书书画艺术文献汇编 第十三册_14034850.pdf 221.48 MB
│014文津阁四库全书书画艺术文献汇编 第十四册_14034816.pdf 243.46 MB
│015文津阁四库全书书画艺术文献汇编 第十五册_14034817.pdf 231.39 MB
├─文津阁四库全书书画艺术文献汇编-2 (0 folders, 17 files, 3.40 GB, 3.40 GB in total.)
│016文津阁四库全书书画艺术文献汇编 第十六册_14034818.pdf 201.17 MB
│017文津阁四库全书书画艺术文献汇编 第十七册_14034819.pdf 199.81 MB
│018文津阁四库全书书画艺术文献汇编 第十八册_14034820.pdf 206.41 MB
│019文津阁四库全书书画艺术文献汇编 第十九册_14034822.pdf 222.03 MB
│020文津阁四库全书书画艺术文献汇编 第二十册_14034821.pdf 166.43 MB
│021文津阁四库全书书画艺术文献汇编 第二十一册_14034815.pdf 240.40 MB
│022文津阁四库全书书画艺术文献汇编 第二十二册_14034823.pdf 226.60 MB
│023文津阁四库全书书画艺术文献汇编 第二十三册_14034824.pdf 230.54 MB
│024文津阁四库全书书画艺术文献汇编 第二十四册_14034825.pdf 202.31 MB
│025文津阁四库全书书画艺术文献汇编 第二十五册_14034826.pdf 197.27 MB
│026文津阁四库全书书画艺术文献汇编 第二十六册_14034827.pdf 216.83 MB
│027文津阁四库全书书画艺术文献汇编 第二十七册_14034828.pdf 162.68 MB
│028文津阁四库全书书画艺术文献汇编 第二十八册_14034829.pdf 180.51 MB
│029文津阁四库全书书画艺术文献汇编 第二十九册_14034830.pdf 191.09 MB
│030文津阁四库全书书画艺术文献汇编 第三十册_14034831.pdf 219.07 MB
│031文津阁四库全书书画艺术文献汇编 第三十一册_14034832.pdf 192.08 MB
│032文津阁四库全书书画艺术文献汇编 第三十二册_14034833.pdf 222.90 MB
└─文津阁四库全书书画艺术文献汇编-3 (0 folders, 18 files, 3.16 GB, 3.16 GB in total.)
033文津阁四库全书书画艺术文献汇编 第三十三册_14034834.pdf 220.77 MB
034文津阁四库全书书画艺术文献汇编 第三十四册_14034835.pdf 187.64 MB
035文津阁四库全书书画艺术文献汇编 第三十五册_14034836.pdf 181.36 MB
036文津阁四库全书书画艺术文献汇编 第三十六册_14034837.pdf 220.67 MB
037文津阁四库全书书画艺术文献汇编 第三十七册_14034801.pdf 174.38 MB
038文津阁四库全书书画艺术文献汇编 第三十八册_14034802.pdf 159.64 MB
039文津阁四库全书书画艺术文献汇编 第三十九册_14034803.pdf 145.21 MB
040文津阁四库全书书画艺术文献汇编 第四十册_14034804.pdf 164.27 MB
041文津阁四库全书书画艺术文献汇编 第四十一册_14034805.pdf 140.20 MB
042文津阁四库全书书画艺术文献汇编 第四十二册_14034806.pdf 138.62 MB
043文津阁四库全书书画艺术文献汇编 第四十三册_14034807.pdf 121.40 MB
044文津阁四库全书书画艺术文献汇编 第四十四册_14034808.pdf 95.04 MB
045文津阁四库全书书画艺术文献汇编 第四十五册_14034809.pdf 133.69 MB
046文津阁四库全书书画艺术文献汇编 第四十六册_14034810.pdf 280.67 MB
047文津阁四库全书书画艺术文献汇编 第四十七册_14034811.pdf 266.98 MB
048文津阁四库全书书画艺术文献汇编 第四十八册_14034812.pdf 198.00 MB
049文津阁四库全书书画艺术文献汇编 第四十九册_14034813.pdf 201.50 MB
050文津阁四库全书书画艺术文献汇编 第五十册_14034814.pdf 204.78 MB

 
 
返回首页
 
----
联系QQ:83790508,联系微信:zx135cn
2025----2035