网罗天下图书 传承中华文明
     
为读者找书,为书找读者.... 本馆宗旨--传承中华文化!
 
联系QQ:83790508,联系微信:zx135cn
 
| 网站首页 | 史料文献 | 常用软件 | 联系我们 |
 
 

中美往来照会集

 

介绍

 

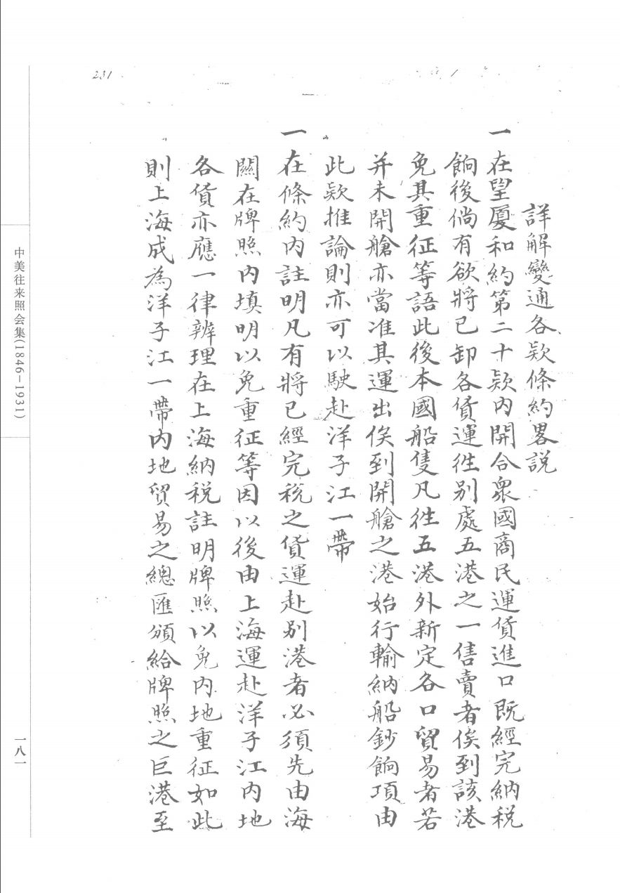
中美往来照会集(1846-1931年)全19册

资料编号:KW42004

文件格式:PDF

文件大小:3.50G

作者:广西师范大学出版社编

出版机构:广西师范大学出版社

丛书名称:美国政府解密档案中国关系

出版时间:2006

书籍提要:本书汇集了1846~1931年中美两国的往来照会,可以说是近代中美交往的实录。其中的不少材料涉及近代中国的各个重大历史事件、近代社会经济状况等诸方面,是研究中国近代史的第一手资料。

目录介绍如下:

中美往来照会集 1846-1931 第01 _13304193.pdf 146.73 MB
中美往来照会集 1846-1931 第02 _13304194.pdf 169.34 MB
中美往来照会集 1846-1931 第03 _13304203.pdf 193.39 MB
中美往来照会集 1846-1931 第04 _13304243.pdf 180.78 MB
中美往来照会集 1846-1931 第05 _13304254.pdf 180.55 MB
中美往来照会集 1846-1931 第06 _13304253.pdf 159.82 MB
中美往来照会集 1846-1931 第07 _13304244.pdf 152.63 MB
中美往来照会集 1846-1931 第08 _13304274.pdf 130.07 MB
中美往来照会集 1846-1931 第09 _13304273.pdf 143.48 MB
中美往来照会集 1846-1931 第10 _13304264.pdf 176.20 MB
中美往来照会集 1846-1931 第11 _13304263.pdf 183.23 MB
中美往来照会集 1846-1931 第12 _13304213.pdf 192.53 MB
中美往来照会集 1846-1931 第13 _13304233.pdf 245.97 MB
中美往来照会集 1846-1931 第14 _13304204.pdf 158.17 MB
中美往来照会集 1846-1931 第15 _13304223.pdf 231.83 MB
中美往来照会集 1846-1931 第16 _13304234.pdf 267.71 MB
中美往来照会集 1846-1931 第17 _13304283.pdf 295.82 MB
中美往来照会集 1846-1931 第18 _13304224.pdf 189.33 MB
中美往来照会集 1846-1931 第19 _13304214.pdf 186.78 MB

 
 
返回首页
 
----
联系QQ:83790508,联系微信:zx135cn
2025----2035