网罗天下图书 传承中华文明
     
为读者找书,为书找读者.... 本馆宗旨--传承中华文化!
 
联系QQ:83790508,联系微信:zx135cn
 
| 网站首页 | 史料文献 | 常用软件 | 联系我们 |
 
 

会试录(部分)(共10册)

 

介绍


会试录(部分)(共10册)

资料编号:KW2463

文件格式:PDF

文件大小:1.67G

作者:天一阁博物院

出版机构:宁波出版社

丛书名称:天一阁藏明代科举录选刊

出版时间:2007年

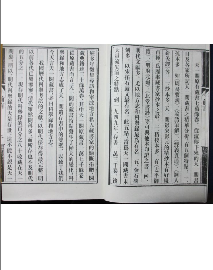
目录介绍如下:

宣德五年会试录.pdf 119.51 MB
洪武四年会试录.pdf 80.13 MB
景泰二年会试录.pdf 226.68 MB
景泰五年会试录.pdf 262.49 MB
新建文本文档.txt 781 bytes
宣德八年会试录.pdf 155.73 MB
正统七年会试录.pdf 171.21 MB
正统十年年会试录.pdf 187.91 MB
正统十三年会试录.pdf 197.01 MB
正统四年会试录.pdf 140.63 MB
正统元年会试录.pdf 171.90 MB

 
 
返回首页
 
----
联系QQ:83790508,联系微信:zx135cn
2025----2035