网罗天下图书 传承中华文明
     
为读者找书,为书找读者.... 本馆宗旨--传承中华文化!
 
联系QQ:83790508,联系微信:zx135cn
 
| 网站首页 | 史料文献 | 常用软件 | 联系我们 |
 
 

历代书画录辑刊

 

介绍


.

历代书画录辑刊(全16册)

资料编号:KW1608

文件格式:PDF

文件大小:5.87G

编 著 者:本社影印室 辑

出版时间:2007-08

出版社:北京图书馆出版社

内容简介

本书辑录唐代以降的历代重要书画录作品近三十种,包括董其昌《董华亭书画录》、张爰《大风堂书画录》、张伯驹《丛碧书画录》等。

《历代书画录辑刊》序言(薛永年)

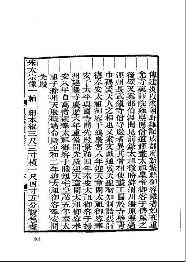
在中国美术史籍中,书画著录占有相当数量。所谓书画著录或称书画录,是历来鉴定收藏书画的笔录,或简或详,起初是书画目,后来才是书画录。在没有照相技术复制图像的历史条件下,这些宝贵的记载,保存了流传书画的丰富信息,无论对于书画史研究,还是书画鉴藏,都有重要的文献价值。
最早的绘画著录,是六朝萧梁的《梁太清目》,部分地通过唐代裴孝源的《贞观公私画史》保存下来。最早的书法著录,是唐代褚遂良的《右军书目》,收录在张彦远的《法书要录》中。不过,二书属于发轫之初,记载都比较简略。
经宋历元进入明清以来,随着鉴藏风气的兴盛,大体形成了多种著录体裁:私家收藏著录,皇家收藏著录,鉴家过眼著录,研究者之集录。从明代朱存理的《珊瑚木难》至清初高士奇的《江村消夏录》,著录每件作品的体例也愈益完备周详。
完备周详的著录,所记项目包括:时代、作者、书画名称、装裱形制、本地、尺寸、画法、书体、书法行数、书法原文、绘画内容、风格特点、本人款识题跋、本人印章、收藏鉴赏者题跋用印,高士奇的《江村消夏录》对印章的著录,甚至一一画成方格,按原位置书写释文。不少著录,还附有书画家小传、作品的考证、鉴别和品评。
古代书画作品,既存在手工摹制以广流传的现象,也不乏伪作和收藏者的误定。经过名家著录的作品,既说明早已发生重要影响,又有史可稽,往往具有较高的价值。系统地比对某一作品历来的著录,则是考察其流传递藏的重要手段。以往的鉴家和学者通过考察著录,常常发现某一真迹的别本、伪作、拆配和误定,重新确定了流传书画的价值,导致了美术史的改写。
为了检索书画书录之便,美国来华的福开森编写了《历代著录画目》(1933年),引用书籍110余种,包括书画题跋;后容庚撰《历代著录画目续编》(1948年),体例沿袭《画目》,计引书六十余种,收历代画家九百余人的画目近六千条(北京图书馆出版社近期将两书合编为《历代著录画目正续编》影印出版)。
故宫博物院的朱家溍主编了《历代著录法书目》(1997年),引用书籍220余种,所包括诗文。但由于各种书画著录书籍系统刊印较少,研究家和鉴藏者查阅甚为不便。
所幸黄宾虹、邓实几十年前主编的《美术丛书》,上世纪末卢辅圣主编的《中国书画全书》,均收入若干种书画著录。可惜,两书所收有限,且疏于点校。新时期出版的《四库艺术丛书》,虽也收入了卞永誉《式古堂书画汇考》等,而未能收入编写在“四库”之后的书画著录。此外,有几种著名的书画著录,如吴其贞《书画记》、高士奇《江村消夏录》和安岐《墨缘汇观》等,近年还出版了点校本,可惜为数不多。
大量书画著录出现于明清,清中叶以后尤多,至20世纪仍有编刻。20世纪的书画著录,有的图文并茂,反映了著录的新进展,有的是钢板刻写,印数极少。我常想,随着举国对文化遗产的重视、公私收藏的鼎盛和美术史研究的深入,很需要系统编辑出版一套《历代书画书录汇编》,倘能精选版本影印,甚或附以简化字释文和认真的点校,实在是有益于艺林和学界的举措。
据知,国家图书馆所藏历代书画著录即有近百种之多,在已出版《国家图书馆藏古籍艺术类编》和《艺术丛书》等书中,即收入了宋周密《云烟过眼录》、元汤允谟《云烟过眼录续集》、明张丑《清河书画舫》、清周二学《一角编》、阮元《石渠随笔》、潘世璜《须静斋云烟过眼录》、陆心源《穰梨馆过眼录》。
已出版的单行本者,亦有明张丑《真迹日录》、《清河书画舫》等。以上均为北京图书馆出版社出版。
2007年8月8日

目 录

第一册
董华亭书画录,(明)董其昌撰 ; (清)青浮山人辑 清光绪22年(1896)刻本
别下斋书画录,七卷 / (清)蒋光煦撰 ; (清)许光诒校 清末抄本
国朝院画录,二卷 / (清)胡敬辑 清嘉庆间刻本(胡氏书画考三种)
南薰殿图像考,二卷 / (清)胡敬辑 清嘉庆间刻本(胡氏书画考三种)
董华亭书画录,(明)董其昌撰 ; (清)青浮山人辑 清光绪22年(1896)刻本
颂斋书画录,容庚撰 北平燕京大学考古学社, 民国25年(1936)铅印本
伏庐书画录,容庚撰 北平燕京大学考古学社, 民国25年(1936)铅印本

第二册
自怡悦斋书画录(上),三十卷 / (清)张大镛撰 虞山张氏, 清道光12年(1832)

第三册
自怡悦斋书画录(下)

第四册
梦园书画录(上)
二十四卷 / (清)方浚颐辑 定远方氏, 清光绪3年(1877)刻本

第五册
梦园书画录(下)

第六册
岳雪楼书画录,五卷 / (清)孔广陶编 三十三万卷堂, 清光绪15年(1889)刻本
似升所收书画录,(清)周嵩尧 清宣统间刻本

第七册
吴越所见书画录,六卷 / (清)陆时化编 清宣统2年(1910)刻本

第八册
江村消夏录,三卷 / (清)高士奇撰 清康熙间刻本
大风堂书画录,张爰编 民国间铅印本
丛碧书画录,张伯驹撰 民国21年(1932)油印本
觯斋书画录,郭葆昌撰 民国15年(1926)铅印本

第九册
虚斋名画录(上),十六卷 / (清)庞元济撰 乌程庞氏, 清宣统元年(1909)刻本

第十册
虚斋名画录(中)

第十一册
虚斋名画录(下)

第十二册
爱日吟庐书画录,四卷 /(清)葛金烺编. 当湖葛氏, 清宣统2年(1910)刻本
爱日吟庐书画补录,一卷 / 葛嗣浵编. 当湖葛氏, 清宣统3年(1911)刻本

第十三册
爱日吟庐书画续录,八卷 / 葛嗣浵编. 当湖葛氏, 民国2年(1913)刻本
爱日吟庐书画别录,四卷 / 葛嗣浵编. 当湖葛氏, 民国2年(1913)刻本
宝迂阁书画录,四卷,附录一卷 / 陈夔麟编 民国间石印本

第十四册
盛京故宫书画录,七卷 / 金梁编 民国13年(1924) 铅印本

第十五册
海王村所见书画录,(清)李葆恂撰 义州李放, 民国5年(1916)刻本
曝画纪余,十二卷 / (清)秦炳文撰 ; 秦潜编辑 梁溪秦氏, 民国19年(1930)铅印本
刺绣书画录,七卷 / 朱启钤辑 上海神州国光社,民国25年(1936)铅印本
清内府藏刻丝绣线书画录,二卷 / 朱启钤辑 阚铎无冰阁, 民国19年(1930)铅印本

第十六册
内务部古物陈列所书画目录
十四卷,附录三卷,补遗二卷 / 何煜纂 民国14年(1925),京华印书局铅印本

目录介绍如下:

├─历代书画录辑刊-1 (0 folders, 8 files, 3.02 GB, 3.02 GB in total.)
│001历代书画录辑刊 第一册 本社影印室辑 北京图书馆出版社 2007.8.pdf 267.11 MB
│002历代书画录辑刊 第二册.pdf 382.16 MB
│003历代书画录辑刊 第三册.pdf 365.65 MB
│004历代书画录辑刊 第四册.pdf 465.15 MB
│005历代书画录辑刊 第五册.pdf 400.56 MB
│006历代书画录辑刊 第六册.pdf 306.97 MB
│007历代书画录辑刊 第七册.pdf 528.35 MB
│008历代书画录辑刊 第八册.pdf 372.77 MB
└─历代书画录辑刊-2 (0 folders, 8 files, 2.86 GB, 2.86 GB in total.)
009历代书画录辑刊 第九册.pdf 399.33 MB
010历代书画录辑刊 第十册.pdf 266.27 MB
011历代书画录辑刊 第十一册.pdf 301.71 MB
012历代书画录辑刊 第十二册.pdf 472.09 MB
013历代书画录辑刊 第十三册.pdf 438.39 MB
014历代书画录辑刊 第十四册.pdf 316.07 MB
015历代书画录辑刊 第十五册.pdf 361.97 MB
016历代书画录辑刊 第16册.pdf 374.12 MB

 

 
 
返回首页
 
----
联系QQ:83790508,联系微信:zx135cn
2025----2035