网罗天下图书 传承中华文明
     
为读者找书,为书找读者.... 本馆宗旨--传承中华文化!
 
联系QQ:83790508,联系微信:zx135cn
 
| 网站首页 | 史料文献 | 常用软件 | 联系我们 |
 
 

国家图书馆藏清代孤本外交档案

 

介绍


.

国家图书馆藏清代孤本外交档案(全52册)

资料编号:KW1444

文件格式:PDF

文件大小:5.09G

作 者: 孙学雷

出版社: 北京:全国图书馆缩微复制中心

发行时间: 2003

书籍提要:本书收录了国家图书馆藏清咸丰至民国初年“总理各国事务衙门”的大量案卷。内容涉及这一时期中外政治、外交、铁路、矿业、银行、航运、邮电、海关、外贸等领域及俄、法、德、英、美、日、比、丹等国。例如《中俄边界查勘抄档》、《日俄议和总案》、《津镇铁路案》等,是研究近代中外政治、外交关系史、中外经济关系史及帝国主义列强对中国实行经济侵略历史的重要史料。
分册目录
书 名 年 代
1各地教民案目录 咸丰10年—同治2年
俄国呈进枪炮案 咸丰10年—同治6年
2张家口拨补税务案 咸丰11年—光绪27年
3浩罕伯克构兵案 同治元年
福建通商总局造送同治九年福厦台湾各口与洋人交涉案 同治元年—9年
给李泰国赫德札文 同治2年
4给赫德札文 同治3年
华人亏欠洋人银两案目录 同治3年—光绪23年
洋商贩运土货改装章程案 同治4年
法人在蒙古经商案 同治4年—7年
5安徽教务案目录 同治4年—12年
太平洋行诱拐妇女出洋案 同治8年、11年
俄商请在北河行轮案 同治11年
抚恤外国人民案:
救护日本遭风难民案
奖赏俄城救火人员案
日使随员失马案
俄赠中国官员宝星案
朝鲜人携参赴津求售案
俄人踢伤蒙古人身死案 同治11年—12年、光绪4年—5年
6通饬中外交涉事件宜加慎密案 同治11年—光绪间
瑞国呈进枪炮样目录 同治12年
瑞士进呈炮台图式案 同治12年
俄股密启簿 同治12年
造办与俄国交涉未完清册 同治—光绪间
张家口禁止俄商设立行栈案 光绪元年—2年
筹议海防案目录 光绪元年—3年
7俄股密启簿 同治13年3月—8月
8-10秘鲁国招工案 同治—光绪间
11-13英人招工案 同治—光绪间
14华洋涉讼案 光绪元年、16年
严定私贩军火罪名案 光绪元年、17年
出使外洋案目录 光绪元年—22年
保举人才案 光绪3年—27年
俄股密启簿 光绪3年
15俄股密启簿 光绪4年
俄股问答簿 光绪4年
16俄股出使密启簿 光绪4年—5年
俄人请学中国语言文字案目录 光绪4年—5年、11年
俄人请学汉字语言案 光绪4年—11年
美英股密奏启簿 光绪4年
禁止提金案 光绪5年
17-18美股问答节略簿 光绪4年—9年
19美股问答节略簿 光绪5年
美股问答节略簿 光绪6年
福建全省洋务总局洋务交涉案 光绪7年—15年
20美股问答节略簿 光绪9年1月—6月
俄使请换关闭钱票案 光绪9年
稽查马匹出口案 光绪9年
日本国限制火油进口案 光绪9年
日商在厦门开设行栈案 光绪9年
中俄边界查勘抄档 光绪9年
造呈现驻英法俄三国使署参赞翻译等员所任差使及新加坡领事官领事随员各一员衔名差使清册 光绪10年
黑龙江俄人越界挖金案 光绪10年—12年
职官购枪勾结商人朦混案 光绪11年
美股问答节略簿 光绪12年
21美股问答节略簿 光绪10年
议勘滇越边境奏稿 光绪12年
22购置搥井机器案 光绪13年
广东请开铁禁案 光绪13年
洪钧出使俄德奥和案 光绪13年
刘瑞芬出使英法义比案 光绪13年
铸造制钱案 光绪13年
筹办河工案 光绪13年—25年
代电苏抚买铅案 光绪14年
俄境禁运牛羊案 光绪14年
福建俄商被茶客倒欠茶银案 光绪14年
购铸钱机器案 光绪14年
招商局轮船目录 光绪14年
英属虐待华人案 光绪14年—16年
乌梁海盗窃牲畜案 光绪15年
俄人在内地购马案 光绪16年
黑顶子屯垦撤局案 光绪16年
中俄马匹分加烙印案 光绪16年
俄商人因保借银款被控案 光绪17年
法商在山东招工案 光绪17年
23吉林添设俄文书院案 光绪13年—25年
24美股问答节略簿 光绪17年
吉林卡官借欠俄官洋银案 光绪17年—18年
吉林禁贩牲畜案 光绪17年、21年
美股问答节略簿 光绪18年
日本国人安达操一拟于宁波开演戏法吴道不准案 光绪18年
办理朝鲜通商交涉事宜 光绪18年、20年
巴西招工案 光绪19年
25检查外国暗码电报案 光绪20年
严定文报局员保奖章程 光绪20年
奏奖捐助军需商董案 光绪20年
各省防瘟疫案目录 光绪20年、23年、25年—26年
奖赏总税务司赫德案 光绪20年、27年
王之春赴俄唁贺案 光绪20年—22年
26法股问答节略簿 光绪21年7月—9月
法股问答簿 光绪21年10月—12月
俄边华民赶回牛只案 光绪21年
津粮台查复礼和炮价银数案 光绪21年
私造银元案 光绪21年
俄在满州采运谷畜案 光绪21年—25年
27法股问答节略簿 光绪22年
光绪廿二年各省设领设行栈案 光绪22年
华洋商船来往苏杭沪章程案 光绪22年
虐待华民案 光绪22年
议设官银行案 光绪22年
书局改归官办印译洋报案 光绪22年—23年
鲁抚咨报防务案 光绪22年—25年
28新疆购办军械案 光绪22年—25年
法股问答簿 光绪23年10月—12月
漕粮船章程 光绪23年
法国呈赠洋枪案 光绪23年
津镇铁路档案 光绪23年—25年
法股问答节略簿 光绪24年正月—4月
29派员绘制舆图案 光绪23年—25年
广西矿务案 光绪24年
福建全省洋务总局造送福厦二口较涉各案已未结清册 光绪24年—25年
黑龙江练兵案 光绪24年—25年
英股问答簿 光绪25年7月—12月
俄商提丰泰购木案 光绪25年
京师设立俄文学堂目录 光绪25年
鲁抚奏保善后局员案 光绪25年
30-31河南福公司矿物档案 光绪24年—宣统2年
32运米章程案 光绪25年
浙抚咨报防务案 光绪25年
铸造银元案 光绪25年
黑省购轮放入阿穆尔江案 光绪25年—26年
法股问答簿 光绪26年
海运漕粮案 光绪26年
庚辛筹办善后各案专档目录:襄办善后营务公所案 光绪26年—27年
庚辛筹办善后各案专档目录:守护禁城 光绪26年—27年
辛丑议约专档目录:交还 光绪26年—27年
辛丑议约专档目录:各国占地 光绪26年—27年
辛丑议约第十款专档目录:保护洋人 光绪26年—27年
辛丑议约第十款专档目录:洋人被害 光绪26年—27年
辛丑议约专档目录:望海楼 光绪27年
辛丑议约第九款专档目录:截撤联军并留兵驻守案 光绪27年
庚辛筹办善后各案专档目录:门头村 光绪27年
辛丑议约第八款专档目录:削平炮台案 光绪27年
华洋开办矿务案 光绪27年—29年
33-35福厦二口外务未结交各案清册 光绪25年—27年、30年—31年
36办结京城教案收支银两并发各国营地建碑银两造具报销清册 光绪27年
美使驳九江关征收船钞案 光绪27年
那大臣专使日本案 光绪27年
硃批簿 光绪27年—32年
上海俄兵船满洲尔交涉案 光绪29年—30年
37救抚崴埠旅大中国商民案 光绪29年—31年
筹办红十字会案 光绪30年
38保和会及红十字会入会案 光绪30年
烟台日本兵船仁川丸交涉案 光绪30年
救济韩国华侨及抚恤日本伤亡案 光绪30年
法商运日本军火案 光绪30年
烟台日本商轮繁荣丸案 光绪30年
烟台禁货总案 光绪30年
日商运豆饼桐木案 光绪30年
39商运麸子往日本案 光绪30年
茶叶运往外洋案 光绪30年
汉阳铁厂购运日商生铁案 光绪30年
俄员监察电报货物案 光绪30年
日俄战船进口总案:
俄船战败逃避中国各岛案
日船停泊中国河口案 光绪30年
京城地面目录 光绪30年
洋商运马口铁及铅片案 光绪30年
洋商运纸烟赴牛庄案 光绪30年
英商运面粉往牛庄案 光绪30年
洋商运铅往香港案 光绪30年
英船运炸药往横滨案 光绪30年
日官在营口设关征税案 光绪30年
救济奉省被战各地华民案 光绪30年—31年
40日官在营口禁阻商货案 光绪30年
与日俄交涉运米赴奉救济难民案 光绪30年
法商运货往东三省案 光绪30年
遣散外人所招华工案 光绪30年—31年
奉省各局及吉林境被兵灾情形案 光绪31年
东三省商运货物案 光绪31年
俄人私买牛马案 光绪30年—31年
面粉运往战地案 光绪30年—31年
日俄更换京津铁路等处驻队案 光绪30年—31年
日人私买马匹案 光绪30年—31年
天津秦王岛运粮煤案 光绪30年—31年
洋商运洋酒食物案 光绪30年—31年
41东三省铁路电线交涉总案:
俄人要求修路运粮案
俄人自行保护铁路电线案
俄军官责成满州官民保护路电案
俄人采买军用物及招华工充兵案
裁撤铁路分局以免日俄责言案
俄人拟在安东等处设铁路支线案
日使疑我国代俄保护铁路案
我国电局接转俄报案
俄人限制铁路华队案 光绪30年
42防务类目录 光绪30年—31年
东三省各处交涉总案:
奉省各项交涉案
盛京交涉用款案
吉省整顿积弊及自修吉长铁路案
吉林教案办结案
库伦造报未完交涉事件案
乌城中俄交涉册报案
亚东税司借巡丁案
收回营口税关案
牛庄收税情形及大连设关办法案
营口地方官到任案
蒙旗安设台站案
南北洋海军联为一队案
选员充外国使馆武随员案
奉天剿抚胡匪案
军采用密码案 光绪30年—31年
43日俄兵入中立界总案:
俄兵带枪由旅顺赴京案
对于无照外人处置案
俄难民由旅顺到烟台案
处置俄国非战斗员由烟到沪案
俄国伤兵回国案
日人解俄俘到津交涉案
日俄兵入小库伦有违中立案 光绪30年—31年
中立时对各国交涉总案:
抚恤美国人案
德借操场案
德人赴新民屯被阻案
德欲助剿海盗案
德国撤退高胶兵队案
法义商在石家庄设铺案
法兵拆毁山海关边墙案
饬法兵轮离雷州案
法使请整顿海南岛军队案
摩洛哥公设巡捕案
审办淹毙外国官兵重犯案
英使请禁江西揭帖案 光绪30年—31年
禁阻外人私设无线电案 光绪31年—宣统元年
墨使函询墨人承受华人遗产规律案 光绪33年
德兵撞伤幼童案 光绪34年
44日俄韩三国总案:
日俄两军各在辽西附近招匪案
北洋与日俄往来信件案
朝鲜赴日祝捷案
韩民越界滋扰案 光绪30年—31年
义使询问选派无线电学生案 光绪34年
京津电局洋总办案 光绪34年—宣统元年
玛戈尼无线电新法案 光绪34年—民国2年
45日军纷扰东三省各处总案:
日员在长春府滋扰案
日军占据新民府案
日人在新民府设军务署及安小铁轨案
日捕华商巨款案
日员指索押犯案
日军占用大东沟木檀案
日人在安东标地案
日人请留安东县令案
日人绑劫营官并拘勒商伙案
日送回俄伤兵案
预防日人设立教堂案
查禁日谍案
查复皖北军营无日本教习案 光绪30年—31年
46战地商产损失赔偿案 光绪30年—31年
东三省善后总案:
东三省善后案
论满州善后案
日英同盟及论经营满州案
日俄和后日英新约案
日俄议和后中国开弛中立案
吉林筹办善后并派员备顾问案
黑龙江派员密商善后案
关于收回东三省案
东三省自开商埠案
吉林垦荒案
库伦浚地设垦局案
尹克昌条陈案 光绪31年
47华商损害赔偿赈抚总案:
华商在战地财产保护赔偿
日俄战事经过地方分别赈抚案
调查东省损伤案
救护海参崴各处华民案 光绪30年—31年
48日俄议和总案:
调停日俄战事案
中国对于日俄议和声明事件案
对日俄议和筹议因应案
关于日俄议和条款案
关于日俄撤兵日期及驻兵护路案
祝贺日俄和议案
日俄将协定东三省事宜案 光绪30年—31年
49英境设领密案 光绪31年—民国5年
越南设领案 光绪32年—民国10年
50德商志诚洋行索赔案 光绪34年—民国3年
东三省各案准驳节略 光绪间
51开滦矿物案 光绪34年—民国8年
52译录俄国外部请恤商亏清单 清
俄轮鹅生碰沉民船案目录 光绪间
法人伯唐遗失债票案 宣统3年—民国2年
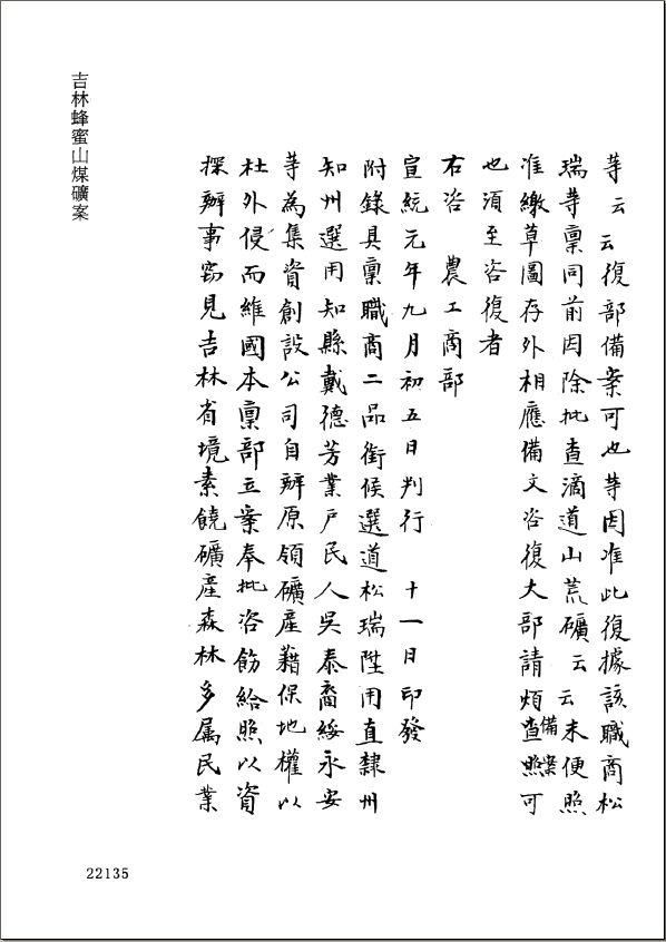
吉林蜂蜜山煤矿案 宣统3年—民国2年

目录介绍如下:

├─国家图书馆藏清代孤本外交档案-1 (0 folders, 26 files, 2.67 GB, 2.67 GB in total.)
│001国家图书馆藏清代孤本外交档案 第1册.pdf 88.80 MB
│002国家图书馆藏清代孤本外交档案 第2册.pdf 90.88 MB
│003国家图书馆藏清代孤本外交档案 第3册.pdf 96.22 MB
│004国家图书馆藏清代孤本外交档案 第4册.pdf 78.03 MB
│005国家图书馆藏清代孤本外交档案 第5册.pdf 88.10 MB
│006国家图书馆藏清代孤本外交档案 第6册.pdf 92.66 MB
│007国家图书馆藏清代孤本外交档案 第7册.pdf 100.04 MB
│008国家图书馆藏清代孤本外交档案 第8册.pdf 102.40 MB
│009国家图书馆藏清代孤本外交档案 第9册.pdf 79.55 MB
│010国家图书馆藏清代孤本外交档案 第10册.pdf 96.95 MB
│011国家图书馆藏清代孤本外交档案 第11册.pdf 90.10 MB
│012国家图书馆藏清代孤本外交档案 第12册.pdf 101.18 MB
│013国家图书馆藏清代孤本外交档案 第13册.pdf 76.04 MB
│014国家图书馆藏清代孤本外交档案 第14册.pdf 116.42 MB
│015国家图书馆藏清代孤本外交档案 第15册.pdf 152.54 MB
│016国家图书馆藏清代孤本外交档案 第16册.pdf 111.09 MB
│017国家图书馆藏清代孤本外交档案 第17册.pdf 134.93 MB
│018国家图书馆藏清代孤本外交档案 第18册.pdf 124.18 MB
│019国家图书馆藏清代孤本外交档案 第19册.pdf 100.61 MB
│020国家图书馆藏清代孤本外交档案 第20册.pdf 103.16 MB
│021国家图书馆藏清代孤本外交档案 第21册.pdf 137.82 MB
│022国家图书馆藏清代孤本外交档案 第22册.pdf 101.65 MB
│023国家图书馆藏清代孤本外交档案 第23册.pdf 118.04 MB
│024国家图书馆藏清代孤本外交档案 第24册.pdf 130.56 MB
│025国家图书馆藏清代孤本外交档案 第25册.pdf 97.17 MB
│026国家图书馆藏清代孤本外交档案 第26册.pdf 125.69 MB
└─国家图书馆藏清代孤本外交档案-2 (0 folders, 26 files, 2.43 GB, 2.43 GB in total.)
027国家图书馆藏清代孤本外交档案 第27册.pdf 110.89 MB
028国家图书馆藏清代孤本外交档案 第28册.pdf 143.66 MB
029国家图书馆藏清代孤本外交档案 第29册.pdf 104.41 MB
030国家图书馆藏清代孤本外交档案 第30册.pdf 86.74 MB
031国家图书馆藏清代孤本外交档案 第31册.pdf 66.76 MB
032国家图书馆藏清代孤本外交档案 第32册.pdf 96.12 MB
033国家图书馆藏清代孤本外交档案 第33册.pdf 99.04 MB
034国家图书馆藏清代孤本外交档案 第34册.pdf 90.34 MB
035国家图书馆藏清代孤本外交档案 第35册.pdf 82.02 MB
036国家图书馆藏清代孤本外交档案 第36册.pdf 87.53 MB
037国家图书馆藏清代孤本外交档案 第37册.pdf 89.97 MB
038国家图书馆藏清代孤本外交档案 第38册.pdf 84.50 MB
039国家图书馆藏清代孤本外交档案 第39册.pdf 80.57 MB
040国家图书馆藏清代孤本外交档案 第40册.pdf 79.86 MB
041国家图书馆藏清代孤本外交档案 第41册.pdf 58.38 MB
042国家图书馆藏清代孤本外交档案 第42册.pdf 89.51 MB
043国家图书馆藏清代孤本外交档案 第43册.pdf 95.38 MB
044国家图书馆藏清代孤本外交档案 第44册.pdf 82.93 MB
045国家图书馆藏清代孤本外交档案 第45册.pdf 97.38 MB
046国家图书馆藏清代孤本外交档案 第46册.pdf 89.24 MB
047国家图书馆藏清代孤本外交档案 第47册.pdf 100.74 MB
048国家图书馆藏清代孤本外交档案 第48册.pdf 87.42 MB
049国家图书馆藏清代孤本外交档案 第49册.pdf 136.07 MB
050国家图书馆藏清代孤本外交档案 第50册.pdf 97.57 MB
051国家图书馆藏清代孤本外交档案 第51册.pdf 144.06 MB
052国家图书馆藏清代孤本外交档案 第52册.pdf 106.42 MB

 

 
 
返回首页
 
----
联系QQ:83790508,联系微信:zx135cn
2025----2035