网罗天下图书 传承中华文明
     
为读者找书,为书找读者.... 本馆宗旨--传承中华文化!
 
联系QQ:83790508,联系微信:zx135cn
 
| 网站首页 | 史料文献 | 常用软件 | 联系我们 |
 
 

东亚同文书院中国调查手稿丛刊

 

介绍


东亚同文书院中国调查手稿丛刊(共200册)

资料编号:KW7280

文件格式:pdf

文件大小:36.4G

作者:国家图书馆编

出版社:国家图书馆出版社

出版时间:2016

东亚同文书院是近代日本为培养“中国通”而开办的高等学校,该校从清末至1945年,每年派学生到中国各地进行调查,以调查报告书作为毕业论文,分别向日本外务省和军方呈送,前后持续40余年,总计派出4000余名日本学生分成近700个小组,足迹遍布中国各地,进行了卷地毯式的调查,形成调查报告千余份。这些调查使用了现代社会学、人类学的调查方法,持续时间、调查地域都超过“满铁”,调查报告极为详细,令研究者叹为观止。本次出版,以国家图书馆所藏的调查手稿为底本,系首次对外公布。手稿的时间跨度从1927年第24期生—1943年第40期生,包括将近2000名调查人员撰写的约1000本的旅行日志手稿和800余本的调查报告手稿。其中日志手稿远比后来整理的年度调查日志丰富,记录了不同时期中国社会的状态,比如军阀统治时期各地土匪猖獗情况,抗战时期学生从军见闻等;调查报告手稿内容未经过删减和筛查,保留了大量的涉密文献,记录了中国各地经济、政治、社会等方面的细节,是研究民国史、中国社会史、经济史、地方史极为重要的资料。

东亚同文书院——日本明治末年至大正、昭和时期(1901—1945)在中国上海兴建的一所招收日本各府县学生的名校,其办学宗旨,号称“讲中外之实学,育中日之英才” ,实为培养掌握汉字文化、熟悉华人社情的“中国通”,系统调查中国,为日本经略东亚的“大陆政策”服务。该书院最突出的行为是,诸生组队前往中国各地,作专题实证考查。经四十余年积淀,其踏访线路密如蛛网,遍及中国南北东西。参加踏查的学生撰写游记性旅行日志和专题性调查报告,共同构成卷帙浩繁的文本系统,而书院方及相关机构利用这些调查获得的一、二手材料,编纂出版了大量研究论著和刊物,周详记述并解析中国经济、政治、文化、社会、风俗诸方面实态。
第二次世界大战日本败降后,东亚同文书院大学被取缔,撤回到日本的东亚同文书院大学最后一任校长本间喜一和部分教员在爱知县丰桥市,会同从台北、汉城撤回的两所“帝国大学”的部分教员,于1946年11月组建了日本中部地区唯一的旧制法文科大学——爱知大学。书院当年的调查报告、旅行日志等原始文本和编纂出版的书刊文献,几经转徙,现分别收藏于中国的国家图书馆和日本的爱知大学丰桥校舍图书馆。笔者1998—2001年讲学爱知大学期间及其前后近十年间,浏览这批文献并作初步研究 ,获得两层认知:一者,近代日本所作中国调查的巨细无遗、切入底里,应引起国人警醒;二者,这批文献提供的系统材料,是研考清末、民国社会的文献渊薮,理当加以利用,其展示的实证主义调查研究方法,也可供参酌借鉴。令人欣慰的是,国家图书馆深谋远虑,将该馆有关东亚同文书院中国调查的巨量藏本整编条贯,影印出版,这确乎是有益当下、惠泽来世的恢弘举措。


近邻日本注重研考中国,自古已然,近代尤烈。
古代中国曾长期雄踞文化高势位,其物质文化、制度文化和观念文化领先于包括日本在内的周边诸国,三千年间一直是文化输出源地。秦汉间中华文化即传往日本。隋唐(日本推古朝至平城—平安时期)以降,作为文化受容国的日本,摄取中华文化更成为自觉国策。受天皇政府派遣,阿倍仲麻吕(701—770)、吉备真备(695—775)、藤原清河(706—778)、玄昉(?—746)、空海(774—835)、圆珍(814—891)、荣西(1141—1215)等数以百计的官员、游学生、游学僧竞相前往唐宋踏访,结交华夏士子,研习汉字汉文、生产技术、典章制度、宗教教义教仪、艺文哲思等多方面文明成果,并留下不少目击记、闻见録。仅以入华高僧的纪行文而论,著名者便有“五大游记” ——入唐日僧最澄大师(767—822)的《历行钞》,谥号慈觉大师的圆仁(794—867)的《入唐求法巡礼行记》,入宋日僧成寻阿阇梨的《参天台五台记》,入明日僧瑞䜣和尚的《入唐记》,策彦和尚的《初渡记》《再渡记》。古代日本人的中国踏访,是求教于先进文化的学习性考查。日本推古三十一年(623),入唐学问僧给天皇的奏本说:“大唐国者,法式备定,珍国也,常须达。” 表述了向文化先进的大唐学习的强烈愿望。
这种运行达两千年之久的中国向日本传输文化的趋势,到明治维新以后发生逆转——原来是汉字文化圈外缘和文化输入国的日本,因学习西洋、建设近代工业文明有成,社会发展走到中国前头。逐渐强盛起来的近代日本,踏查中国的热情较之古时有增无减,而其目的,则由学习、师法变为觊觎、侵略中国。
明治维新展开的日本近代化进程,于资本原始积累、实现产业革命的初始阶段,适逢世界资本主义向帝国主义转化时期,而日本古来即自视“神国”,素有“八纮一宇”雄心,在近代条件下,迫不及待地乘上帝国主义战车,参与瓜分乃
至独占邻邦。鉴于地缘特点,日本的矛头直指东亚,朝鲜半岛首当其冲,中国则是主要目标。而多方面考查作为侵略对象的中国,遂成为近代日本持久的战略工程。这既是日本研习中国的两千年传统之近代转型,也是对欧美考察殖民地作法的直接仿效。
欧美列强率先完成工业革命并掌握近代科学方法,其殖民扩张总是伴以对掠占国家的周密考察。采取实地勘察手段,沿着文化人类学等近代学术理路,周详调查对象国的自然资源与社会—人文状况,是西方列强从事的一项长期活动。鲁迅留学日本之际,对外国人“入吾内地,狼顾而鹰睨”,觊觎中国主权的踏查活动深怀忧虑,他于1903年作《中国地质略论》一文,列举了德国人利忒何芬(通译李希霍芬)1868—1872年的七次中国踏查,匈牙利伯爵式奚尼1879—1880年的中国西部及西南踏查,俄国人阿布佉夫(通译奥勃鲁契夫)1884年的华北踏查,法国里昂商业会议所1887年的云贵川踏查。 此外,史学界熟知的英国斯坦因、瑞典斯文赫定、德国格林韦德尔、法国伯希和等人的中国西北考古并将高昌、敦煌等处文物西传,也为此类显例。这些外人深入中国堂奥,都留有游记性或研究性著述,成为外人考查中国的范本。
日本作为后起的资本主义国家,深悉欧美列强此一旨趣,并身体力行,在有些方面较欧美更有过之而无不及。日本的域外踏查,以东亚,特别是中国为首要对象,这是与其侵略范围相一致的。
中日两国是“一衣带水”、“一苇可航”的近邻,有着深刻的历史文化渊源,近代初期又都受到西方列强的殖民侵略,处境相似。日本自幕末“开国”之际,即十分关注在中国发生的鸦片战争、太平天国诸事态,以之作为日本决定国策的参考系数,遂于19世纪60年代初中期,四次遣使上海等地,对中国情状作现地调查。 幕末日本的中国踏查,主要是试图汲取清朝衰败的教训,对中国受西洋凌辱尚有唇亡齿寒、惺惺相惜之概,这在1862年访沪的高杉晋作(1839—1867)的《游清五録》等日本藩士纪行文中有所表述。然而,幕末踏查中国的藩士们面对清朝的衰朽,已流露出蔑华情绪,如与高杉晋作同行的峰洁甚至发出“若给我一万骑,率之征战,可纵横清国”的狂言。 这正是日本自丰臣秀吉以来对外扩张传统在近代早期的初步昭显。明治维新以后,日本国势骤强,正式确立“经略中国”、“雄飞海外”战略,形成以独占中国为目标的“大陆政策”。日本又有地近、文近、人种相近之利,其对中国调查的强度、规模和系统性,较之欧美诸国颇有后来居上之势。
早在19世纪80年代,日本已开始对中国作系统调查,以地质矿藏考查为例,便有神保、巨智部、铃木的辽东踏查,西和田的热河踏查,平林、井上、斋藤的南方踏查。在文物考古领域,与英国人斯坦因、瑞典人斯文赫定相同时,20世纪初年,有日本伊东忠太的云冈石窟调查、大谷考查队的新疆考古并窃取壁画文书(著名的“大谷文书”由此而来)。

近代日本把对以中国为主体的亚洲大陆的实证性探查,视作日本与欧美列强竞争高下的“使命”。日本官方、军方、商界,出于军事、政治、经济目的,不断派出浪人、军人、商人、记者,潜入中国各地作周密踏查,留下卷帙浩繁的文献材料,较成系统的有如下几类。
(一)学者、官员、商人、军人、浪人的个人踏访
十九世纪中叶以降,高杉晋作、名仓予何人、安东不二雄、宇野哲人等相继作“禹域踏查”(日本人习称中国为“禹域”,即“大禹的国度”),留下大量纪行日记、随笔,竹添光鸿的《栈云峡雨日记》、冈千仞的《观光纪游》、内藤湖南的《燕山楚水》、德富苏峰的《中国漫游记》为传世名篇。日本尤玛尼书房于平成九年(1997)出版小岛晋治监修的《幕末明治中国见闻録集成》二十卷本,平成十一年(1999)出版小岛晋治监修的《大正中国见闻録集成》二十卷本,即为这批纪行文的精选,从中可以得见近代日本武士、学者、商人、军人、记者中国旅行见闻、评述的范围与深度。
(二)驻华领事的分区调查
日本外务省从明治十四年(1881)起,将领事报告编为《通商汇编》年刊,继而改为半年刊。农商务省还于明治十八至二十一年(1885—1888)办《农商工公报》(月刊),每号都载有“领事报告”。明治十九年(1886)以后,外务省下属的《通商汇编》更名《通商报告》,明治二十二年(1889)底停刊,明治二十七年(1894)以《通商汇纂》复刊。汉口总领事水野幸吉着《汉口——中央支那事情》、内田佐和吉着《武汉巷史》之类书籍,则是领事系统调查的附产品。上海日本总领事馆特别调查班的调查报告汇编《特调班月报》(1941),与侵华战争直接关联。
(三)满铁调查
1906年组建的南满铁道株式会社,建立规模庞大的“南满铁道株式会社调查部”,在沈阳、吉林、哈尔滨、北京、上海等地设事务所,集中大批专家,从事中国社会调查。1939年4月,为适应扩大的侵略战争的需要,满铁调查部改组、扩充,从事“支那抗战力调查”“支那惯行调查”“日满支工业立地条件调查”“东亚重要物资自给力调查”“世界情势调查”等等。30余年间,满铁调查部搜集的各种情报、档案、书籍、杂志、剪报等,达二三十万件,并有数千种资料汇编、论著、刊物出版。
(四)兴亚院调查
1938年成立的兴亚院,由日本首相兼任总裁,陆军大臣、海军大臣、外务大臣、大藏大臣兼任副总裁,具体事务由总务长官负责。兴亚院的本院在东京,中国的北京、上海等地设联络部,开展对中国的政治、经济、文化的“实态调查”,包括中国工业调查、重要国防资源调查、流通关系调查、社会调查等,发表了约两千份调查报告。
(五)“末次情报资料”
侵华日军北平情报机关“末次研究所”(负责人末次政太郎)对中外报刊以剪报形式作的中国调查,累计数千万条,2亿字,分755辑,广西师范大学出版社1994年将该资料的中文部分出版。
(六)各实业团体的经济、商情调查
日本兴亚银行1942年、1943年、1944年的《调查月报》,以及南亚海运株式会社的《调查内报》16卷,关于中国经贸及交通的调查十分详细。类似的以“商战”为目标的调查报告甚多,如汉口商工会议所编的《汉口经济事情》(1936)。
(七)东亚同文书院的旅行调查(后文详介)

近代日本的中国调查,以满铁调查部所作的东北、华北、华东“惯行调查”最着声名。自20世纪50年代开始,中国学术界开始整理满铁调查材料,已出版的满铁调查资料汗牛充栋。20世纪70年代以降,满铁调查材料渐为世界各国研究中国问题的机构和专家使用。美籍华裔社会学家黄宗智关于华北小农经济研究 ,关于长江三角洲小农家庭研究 ,即依凭满铁调查材料;美国社会学家杜赞奇研究华北地区村级结构的论著 ,马若孟关于近代华北小农经济之研究 ,主要材料亦取自满铁调查。近30年来,中国的近代史及社会史、经济史学者也注意对满铁调查的研究。
在近代日本关于中国调查的诸多系统中,踏访历时最长、覆盖面最广的,并非满铁调查部,而是“东亚同文会”组建的“东亚同文书院”。该书院及其前身汉口乐善堂、上海日清贸易研究所的中国踏查始于19世纪80年代中期,大体未间断地延续到20世纪40年代中期,几近60年(满铁调查不足40年)。其调查地域遍及除西藏之外的中国各省区的若干市、县、乡、镇乃至关隘、码头(虽未直接踏查西藏,东亚同文书院也有多种研究西藏的论著),还涉足俄罗斯西伯利亚及远东、法属印度支那半岛、南洋群岛(满铁调查限于东北、华北、华东)。东亚同文书院调查材料和著述基本保存完整,然而却“藏在深闺少人识”,被利用的程度远低于满铁调查。时下国家图书馆系统整理出版相关文献,或许将开辟利用东亚同文书院中国调查材料的局面。


东亚同文书院的源头,可追溯到企图以日本为盟主对抗西方列强的兴亚论者荒尾精(1858—1897)。荒尾1886年创办汉口乐善堂,该堂是日本明治时期“经略中国”的传奇人物岸田吟香(1833—1905)所设上海乐善堂的支店,以营销眼药水、药材、书籍、杂货为掩护并提供经费,开展“中国调查的试行调查”,范围重点在中国西北、西南地区。汉口乐善堂《外员探查须知》规定,访查对象包括“君子、豪杰、长者、侠客、富豪”,并将其姓名、住址、年龄、行踪详加记载。调查内容则包括各地“山川土地形状、人口疏密、风俗良否、民生贫富、被服粮秣”等等。荒尾精于1889年返国,向日本参谋本部提交2.6万字的《受命书》,对中国的朝廷、内政、人物、兵事、欧洲四大国(英、法、德、俄)的对华策略作了详细分析。
1890年,荒尾精与当年在陆军士官学校的同学根津一在上海创设日清贸易研究所,该所招收150名日本学生,研习中国官话(北京话)、了解中国商事习惯及社会状况。学生修业四年,前三年为学科,最后一年为实地调查与实习。这种方式已开日后东亚同文书院的先声。因运营资金枯竭,日清贸易研究所于1893年8月停办。荒尾精1897年在台湾染鼠疫去世。
1898年,“东亚同文会”在东京成立,会长为亚洲主义者、日本贵族院议长近卫笃麿公爵(号霞山,1863—1904,二战时期日本首相近卫文麿之父)。东亚同文会受到日本政界、军方、新闻界、工商界的支持,势头盛炽。
东亚同文书院及其前身的创始人荒尾精、根津一、近卫笃麿等,皆是日本“兴亚论”的倡导者和力行者。“兴亚论”又称“亚洲主义”,是明治至昭和时期重要的政治及思想流派,在朝野颇能呼风唤雨。“兴亚论”与蔑视亚洲邻国的“脱亚论”貌似相悖(前者反西方,后者亲西方),其实却互为补充,二者共同构成日本向东亚扩张之“大陆政策”的基旨。“兴亚论”以日本的“国权主义”为核心理念,力主以日本为盟主,与中国“合纵”,与朝鲜“合邦”,使日本“指导”下的东亚组成“足恃”的力量,以阻遏欧美势力的东进。“兴亚论”还强调中日“同种同文”,汉字文化、儒家伦理是东亚诸国“亲和”的基础,日、中、朝赖此以“协力分劳”,实现“一体化”,在日本统领下抗衡西方。“兴亚论”的这一套构想,深刻影响了后来建立的东亚同文书院的办学路线,其校名标示“东亚”、昭显“同文”,正暗藏着“兴亚论”玄机。
1899年,近卫笃麿访华,在南京拜会两江总督刘坤一,鼓吹东亚同文会的亚洲主义宗旨,进而与刘商定东亚同文会在南京设立学校。1900年5月,南京同文书院开办,院长根津一。因义和团事起,1901年初书院迁往上海,更名“东亚同文书院”,是日本在中国设立最早、最具规模的大学。首任院长根津一(1860—1927)。学生从日本各府县招考,一届每府县两名,学生享受公费待遇,修业三年,教授汉语以及中国历史、政治、经济、文化等课程,并研习社会调查方法。书院在日本有“梦幻的名门校”之称,吸引一批家道清贫、学业优异的青年入学。1939年,东亚同文书院由三年制专科学校升格为四年制大学,更名“东亚同文书院大学”。
东亚同文会历任会长
第一任会长(1898—1904):近卫笃麿(公爵,贵族院议长)
第二任会长(1904—1907):青木周藏(子爵,日本外相)
第三任会长(1907—1918):锅岛直大(侯爵,第11代佐贺藩主)
第四任会长(1918—1936):牧野伸显(伯爵,大久保利通之子,日本政坛元老)
第五任会长(1936—1945):近卫文麿(公爵,贵族院议长,三次任日本首相)

东亚同文书院(大学)历任院长(校长)
第一任院长(1901—1902):根津一(汉口乐善堂创始人之一)
第二任院长(1902—1903):杉浦重刚(众议员,国粹主义者,裕仁天皇的老师)
第三任院长(1903—1923):根津一
第四任院长(1923—1926):大津麟平(台湾总督府官僚,岩手县知事,德岛县知事)
第五任院长(1926—1931):近卫文麿(贵族院议长,东亚同文会副会长)
第六任院长(1931—1940):大内畅三(众议员,1939年升格为东亚同文书院大学后的首任校长)
第二任校长(1940—1944):矢田七太郎(日本驻上海总领事,曾参加1927年东方会议)
第三任校长(1944—1945):本间喜一(末代校长,爱知大学创始人)
东亚同文书院接受日本政府的财政援助,并在行政上接受日本文部省和外务省的管辖和监督。书院院长的任命、系科的置废、学制的变更等事务,大都由政府决定。该书院初设政治科和商务科,课程多与中国有关,以商业和经济为重点。从1920年9月起,该院设立中华学生部,招收中国学生。同时,东亚同文会开办天津同文书院(后更名为中日书院)和汉口同文书院,两校专门招收中国学生。日本官方1921年颁布的“三二八号敕令”规定,该院毕业生的资格与日本国内专门学校相同。
东亚同文书院最具特色的举措,是历届学生作中国社会状况实地踏访,为此,书院设调查部、调查编纂部、支那研究部、东亚研究部,具体组织踏访实施和相关研究的展开。
书院获得清政府及后来的北洋政府允许,并领有中国当局颁发的通行许可证(民国要人孙中山、黎元洪、段祺瑞、汤化龙等皆为东亚同文书院的中国踏查题辞),畅行无阻地到各省区访查,而学生通过长期的汉语及中国文化学习,又接受严格的社会调查训练,在各地活动较少语言障碍和习俗扞格。
东亚同文书院每届学生于高年级的一个学期(3至6个月),数人组成调查队(如晋蒙队、蜀汉队、云南事情调查班、胶济调查班、北满间岛经济调查班、长江流域调查班、南洋班等等),乘船坐车,骑马徒步,至中国某地作周密的专题考察。其调查内容涉及各地经济状况、经商习惯、地理形势、民情风俗、多样方言、农村实态、地方行政等等,愈往后期,调查愈趋于专业化。
自1901年至1945年的40余年间,46届近4922名东亚同文书院学生,对中国各省区作地毯式立体调查,线路近700条,调查旅行历时最长的一次,是二期生林出贤次郎1905年的新疆考查,共274天,跋涉天山北路,直抵中俄边境伊犁。
“汉口乐善堂”(1886—1889)—“日清贸易研究所”(1890—1893)—“南京同文书院”(1900)—上海“东亚同文书院”(1901—1939)—上海“东亚同文书院大学”(1939—1945)是日本开展中国调查历时最久、涉及地域最广的系统。
东亚同文书院初址在上海高昌庙桂墅里,1917年迁至徐家汇虹桥路。1937年中日战争全面爆发,虹桥校舍被战火烧毁,书院一度撤至日本长崎。日军占领上海后,书院又返回上海,1938年4月侵占交通大学闵行东川路校舍(交大已于1937年内迁),直至1945年8月日本败降,东亚同文书院大学撤回日本。
爱知大学文学部藤田佳久教授将东亚同文书院的中国旅行调查分为1901年至1905年的肇始期(此间主要有山东调查和武汉调查),1906年至1919年的扩大期(其标志是日本外务省1907年给旅行调查提供3万日元补助金,旅行调查扩及中国各省区),1920年至1930年的圆熟期(调查专业化、细密化,调查材料整理颇见成效,突出者为1921年出齐的18卷本《支那省别全志》,马场锹太郎陆续出版《支那经济地理志》《支那主要商品志》等),1931年至1937年的制约期(“九一八”事变后,中国政府不再支持东亚同文书院的中国调查,其调查活动限制在日军占领区)。
“七七”事变后中日战争全面展开,1937—1945年的调查活动因战争大受影响,故藤田佳久没有为这一阶段给定名称。而就笔者从文献材料所见及对尚健在的东亚同文书院大学后期校友采访得知,此间的旅行调查时断时续,但一直维持到1945年夏,其地域当然限于日军占领区。所以可将这八年称之严重制约期。44期生(1943年入学)土门义男于1998年5月9日在爱知大学接受笔者与刘柏林采访时说,他于1945年初夏参加旅行调查,线路是上海—青岛—热河—东北。36期生春名和雄1999年7月12日在东京霞山会馆接受笔者与刘柏林采访时说,他所参加的旅行组于1939年到江苏南通作社会调查,住在日军营房,并为日军作临时翻译。40期生贺来扬子郎、42期生小崎昌业1999年7月12日在东京霞山会馆接受笔者与刘柏林采访时说,他们所在的两届因战争缘故,旅行调查开展得很不正规。45期生松山昭治于1998年5月9日在爱知大学接受笔者与刘柏林采访时说,他1944年春从日本长崎乘“吉林丸”出航,避过美军潜水艇,从朝鲜半岛西海岸转经山东半岛沿岸,到上海登陆,入东亚同文书院大学就读,只在1945年夏初为高年级同学旅行调查出发送行,自己这一届未及作旅行调查,1945年12月从上海返回日本。可见,东亚同文书院大学的旅行调查一直持续到日本败降。


东亚同文书院中国踏查类文献,约略分为以下几类。
(一)历届学生的旅行日志及调查报告原本或复写本
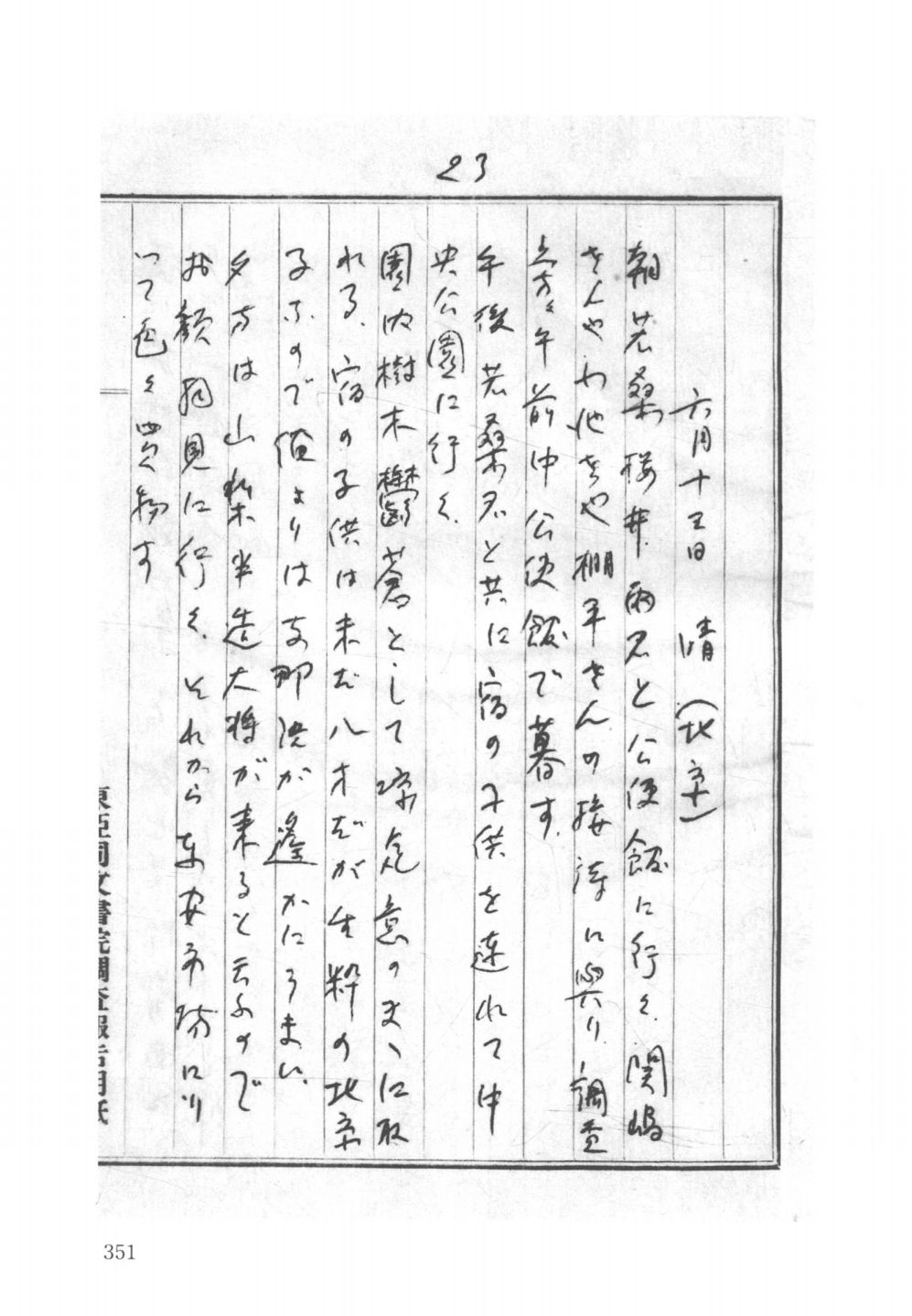
东亚同文书院历届学生在旅行踏查后,皆须撰写两种文字充作结业书,一为见闻性旅行日志,称“大旅行记”;二为专题调查报告,称“大旅行报告书”。这两种原件交书院图书馆保存,书院组织职员复写四份,分别呈送东亚同文会、外务省、农商务省。
东亚同文书院第10期至第29期各届学生的“大旅行记”、“大旅行报告书”(即1935年以前的原本或复写本),皆为16开和纸(美浓罫纸)本,以日文草书写就,共707册,现藏爱知大学丰桥校舍图书馆,笔者与刘柏林教授曾于1998—2001年间多次前往阅览(当然只读到很少一部分)。因存放多年,纸张色变、草书字迹模糊,包括日文水平甚高的刘柏林君和日本学者也极难识读。
东亚同文书院1936—1943年的“大旅行记”、“大旅行报告书”的原本或复写本现藏中国北京的国家图书馆,笔者与刘柏林于1999年曾在时称北京图书馆的专藏室观其大貌。
国家图书馆和爱知大学图书馆大体完整保存了东亚同文书院中国调查的原始文本。
(二)从旅行日志选编整理而成的年度旅行记
书院学生个人及班队留下数量颇多的“旅行记”“旅行志”“大旅行日记”“大旅行日志”,多由书院印行。此外,书院自第七期开始,历届多编有旅行记年度选本,时下得见的有如下数十种:
《一日一信》(第七期) 明治四十三年(1910)上海东亚同文书院出版
《旅行纪念志》(第八期) 明治四十四年(1911)上海东亚同文书院出版
《孤帆双蹄》(第九期) 大正元年(1912)上海东亚同文书院出版
《乐此行》(第十期) 大正2年(1913)上海东亚同文书院出版
《沐雨栉风》(第十一期) 大正三年(1914)上海东亚同文书院出版
《同舟渡江》(第十二期) 大正四年(1915)上海东亚同文书院出版
《暮云晓色》(第十三期) 大正五年(1916)上海东亚同文书院出版
《风餐雨宿》(第十四期) 大正六年(1917)上海东亚同文书院出版
《利涉大川》(第十五期) 大正七年(1918)上海东亚同文书院出版
《虎风龙云》(第十六期) 大正八年(1919)上海东亚同文书院出版
《粤射陇游》(第十八期) 大正十年(1921)上海东亚同文书院出版
《虎穴龙颔》(第十九期) 大正十一年(1922)上海东亚同文书院出版
《金声玉振》(第二十期) 大正十二年(1923)上海东亚同文书院出版
《彩云光霞》(第二十一期) 大正十三年(1924)上海东亚同文书院出版
《乘云骑月》(第二十二期) 昭和元年(1926)上海东亚同文书院出版
《黄尘行》(第二十三期) 昭和二年(1927)上海东亚同文书院出版
《汉华》(第二十四期) 昭和三年(1928)上海东亚同文书院出版
《描线》(第二十五期) 昭和四年(1929)上海东亚同文书院出版
《足迹》(第二十六期) 昭和五年(1930)上海东亚同文书院出版
《东南西北》(第二十七期) 昭和六年(1931)上海东亚同文书院出版
《千山万里》(第二十八期) 昭和七年(1932)上海东亚同文书院出版
《北斗之光》(第二十九期) 昭和八年(1933)上海东亚同文书院出版
《亚细亚基础》(第三十期) 昭和九年(1934)上海东亚同文书院出版
《出庐征雁》(第三十一期) 昭和十年(1935)上海东亚同文书院出版
《翔阳谱》(第三十二期) 昭和十一年(1936)上海东亚同文书院出版
《南腔北调》(第三十三期) 昭和十二年(1937)上海东亚同文书院出版
《风啊吹呀吹》(第三十四期) 昭和十三年(1938)长崎东亚同文书院三十四期生旅行志编纂委员会出版
《靖亚行》(第三十五期) 昭和十四年(1939)东京东亚同文会业务部出版
《大旅行纪》(第三十六期) 昭和十五年(1940)东京东亚同文会业务部出版
《大陆遍路》(第三十八期) 昭和十七年(1942)上海东亚同文书院大学出版
《大陆纪行》(第三十九期) 昭和十八年(1943)上海大陆新报社出版
二战以后,上海东亚同文书院校友又续编当年旅行记,如昭和四十五年(1970)出版《续千山万里》,昭和五十五年(1980)出版《续风啊吹呀吹》,昭和五十九年(1984)出版《续靖亚行》。
近年来,日本方面继续整理出版东亚同文书院材料,如藤田佳久编《东亚同文书院中国调查旅行记録》(第1—3卷,爱知大学刊),谷光隆编《东亚同文书院大运河调查报告书》,沪友会编《东亚同文书院大旅行记録》等。
(三)调查报告专题选本
调查报告是东亚同文书院历届学生旅行踏查留下的主要文本成果。国家图书馆、爱大丰桥校舍图书馆藏有大批调查报告原本和复写本,亦藏有由东亚同文书院调查编纂部整理出版的多种《调查报告书》,下举“圆熟期”数年之例,可见一斑:
《山东省石炭调查》(1927)
《上海附近食料品市场》(1927)
《南洋华侨之现状》(1927)
《北满间岛金融》(1927)
《山东的劳动者》(1927)
《以上海为中心的船舶业》(1927)
《上海的同业团体(附同乡团体)》(1927)
《华南滇越的劳动状况》(1928)
《佛领印度支那东京华侨调查》(1928)[“佛”即法国]
《比律宾教育调查》(1928)[“比律宾”即菲律宾]
《民国十七年四川各军概况及裁兵事情》(1928)
《东三省铁道调查报告》(1928)
《南支那海运调查》(1928)
《阿片调查》(1928)[“阿片”即鸦片]
《广东地方的丝业调查》(1929)
《南支沿岸都市调查》(1929)
《青岛港之调查》(1929)
《满蒙农家经济状况》(1929)
《北京书业调查》(1930)
《羊毛调查》(1930)
《武汉英人企业大势》(1930)
《南满农民生活状况》(1930)
《粤汉铁路沿线经济调查班贸易调查》(1930)
东亚同文书院此类整理出版的调查报告现存数百种。笔者等编《东亚同文书院中国调查资料选译》三卷本可见其若干侧面。


东亚同文书院及其前身在大规模开展社会调查的基础上,致力于调查素材的综合整理工作,如一八九二年根津一利用“汉口乐善堂”、上海“日清贸易研究所”的调查材料,编纂出版《清国通商综览——日清贸易必携》。该书二编三册2300余页,分地理、交通、运输、金融、产业、惯习等项,成为当时日本从事对华各项活动的百科辞典,也是今人研究清末社会(特别是经济生活)的系统文献。
1901年以后,东亚同文书院、东亚同文会更组织专家,对书院学生的巨量调查报告作综合研究,编纂有一系列的出版物。
(一)专题论著,要者有:
《清国商业惯习及金融事情》,东亚同文书院编,东亚同文书院出版(1904)
《支那经济全书》,东亚同文会编,第1—7辑东亚同文会1907—1908年出版;第8—12辑东亚同文会1908—1909年出版。
《支那省别全志》18卷,东亚同文会1917—1920年在东京编纂出版。第一卷广东省(附香港、澳门),第二卷广西省,第三卷云南省,第四卷山东省,第五卷四川省,第六卷甘肃省(附新疆省), 第七卷陕西省,第八卷河南省,第九卷湖北省,第十卷湖南省,第十一卷江西省;第十二卷安徽省,第十三卷浙江省,第十四卷福建省,第十五卷江苏省,第十六卷贵州省,第十七卷山西省,第十八卷直隶省。
《新修支那省别全志》9卷,东亚同文会1941—1945年在东京编纂出版。第一卷四川省上,第二卷四川省下,第三卷云南省,第四卷贵州省上,第五卷贵州省下,第六卷陕西省,第七卷甘肃省、宁夏省,第八卷新疆省,第九卷青海省、西康省。新修本所涉省区皆为尚未被日本侵占的国统区,此志书显然是为日本攻略大西南、大西北作资料准备。
《以上海为中心的学生运动》,曾根喜久男编着,东亚同文书院出版(1929)
《扬子江流域各省农村经济与农民运动》,镰田尨男编着,东亚同文书院出版(1929)
《农村自治》,泽登誉编着,东亚同文书院出版(1930)
《中国领事裁判论》,东亚同文书院大学东亚研究部编着(1932)
《日本植民政策的台湾实施及影响》,藤次博编着,东亚同文书院出版(1933)
《支那经济的地理背景》,马场锹太郎着,东亚同文书院支那研究部出版(1938)
《支那水运论(附满洲国水运)》,马场锹太郎着,东亚同文书院支那研究部出版(1938)
《对支文化工作论》,东亚同文书院支那研究部编着(1939)
《蒋政权非常时期难民对策立法》,东亚同文书院支那研究部编着(1940)
《湖北省省政调查》,井上俊一郎编着,东亚同文书院出版(1941)
(二)研究中国的刊物及语言研究书刊,要者有:
《支那研究》(1—58号),东亚同文书院支那研究部编
《沪友学报》,东亚同文书院大学沪友同窗会编
《华语萃编》(1—15集),东亚同文书院编
《旅行用语:北京官话》,东亚同文书院编
《沪语津梁》,御幡雅文着,东亚同文书院出版(1926)
《华语月刊》,东亚同文书院华语研究会编


对东亚同文书院中国调查作历史观照,可以获得两重认识。
其一,近代日本进行的中国调查,系“大陆政策”的产物,是为日本侵略中国的战略服务的。在这种调查展开之际,青年鲁迅便指出:“中国者,中国人之中国。可容外族之研究,不容外族之探检;可容外族之赞叹,不容外族之觊觎者也。” 清末湖北留日学生也有类似评议:“彼碧眼儿之入吾室以窥伺吾长短”,“包藏祸心” 。 而清末、民国间,“觊觎”中国,“入吾室以窥伺吾长短”的不止是“碧眼儿”(欧美人),近邻日本怀着更强烈的独占中国之心,开展中国调查,窥探中国内里。这一历史真实,国人不可忘却。
其二,日本的官方与民间,在一个长时段运用近代实证科学方法开展周详细密的中国社会调查,有些是对当时中国官方及民间零散资料的集中与整理,有些是运用社会学的实证调查方法采集第一手材料。经数十年积累,日本人掌握了关于中国经济、政治、社会、文化方面的翔实信息,留下卷帙浩繁的见闻録、考查报告,以及在此基础上编纂的志书、类书、研究专著等等文献,为从事晚清、民国政治史、经济史、文化史、社会史研究提供了直接或间接的数据,其调查方法的精密、系统,也足堪借鉴。
毛泽东1941年在《农村调查》的序言和跋中,强调社会调查的重要性,并指出:“中国幼稚的资产阶级还没有来得及也永远不可能替我们预备关于社会情况的较完备的甚至起码的材料,如同欧美日本的资产阶级那样,所以我们自已非做搜集材料的工作不可。” 这里对“中国幼稚的资产阶级”来不及作较完备的社会调查的估量,大体符合历史实情,但需要补充说明的是,自晚清以降,一些有识之士已开始重视并亲自进行社会调查,如清末的湖北留日学生鉴于“各国人之于其国也,无一事不有调查会,或政府提创之,或人民自组织之”,在1903年成立“湖北调查部”,对在本国、本省开展社会调查有所规划,列举了“政法上之调查”“教育上之调查”“经济上之调查”“实业上之调查”“军事上之调查”“历史上之调查”“地理上之调查”“民族上之调查”“出产上之调查”“交通上之调查”“外人势力上之调查”诸方面的调查细目。 限于条件,这一计划无法在晚清实现。
民国时期,国民政府的某些部门,如地政局,曾组织力量作专题社会调查,留下一批宝贵材料。某些从西方学习社会学、民族学回归的中国学者,作过高水平的社会调查研究,如陈达的《南洋华侨与闽粤社会》(英文版1939年出版),费孝通的《江村经济》(英文版1938年出版),至今闪耀光辉,被视作社会学范本。20世纪30年代出版的“社会调查丛书”(中华平民教育促进会出版)也不乏佳作,如李景汉的《定县社会概况调查》(1932)便颇有价值。此后,各类调查研究报告续有面世,如费孝通的《乡土中国》(1945)、杨懋春的《一个中国村庄:山东台头》(1945)、林耀华的《金翼——中国家族制度的社会学研究》(英文版1947年出版)、许烺光等人的《祖荫下:中国文化与人格》(1948)等。
这批在艰困的条件下完成的社会调查论著,达到令国际学术界肃然起敬的水平,足证中国人完全有能力在社会调查研究领域攀登高峰。当然,就整体而言,清末、民国积贫积弱,战乱频仍,国家与民间无力作大规模、长时段、成系统的社会调查。而日本当年以强势国力为依托,以侵霸中国为矢的,对大江南北、黄河上下、白山黑水、西域大漠进行周密的社会调查,其积累的调查材料、研究著述及运用的调查方法,经过批判性辨析,可以为我所用,也理当为我所用。这正是国家图书馆影印出版东亚同文书院中国调查文献的宏旨所在。

目录介绍如下:

├─东亚同文书院中国调查手稿丛刊-01 (0 folders, 21 files, 4.20 GB, 4.20 GB in total.)
│东亚同文书院中国调查手稿丛刊 01_14363117.pdf 200.51 MB
│东亚同文书院中国调查手稿丛刊 02_14363118.pdf 194.90 MB
│东亚同文书院中国调查手稿丛刊 03_14363119.pdf 204.64 MB
│东亚同文书院中国调查手稿丛刊 04_14363120.pdf 180.92 MB
│东亚同文书院中国调查手稿丛刊 05_14363121.pdf 189.64 MB
│东亚同文书院中国调查手稿丛刊 06_14363122.pdf 207.04 MB
│东亚同文书院中国调查手稿丛刊 07_14363123.pdf 193.26 MB
│东亚同文书院中国调查手稿丛刊 08_14363124.pdf 192.54 MB
│东亚同文书院中国调查手稿丛刊 09_14363125.pdf 226.56 MB
│东亚同文书院中国调查手稿丛刊 10_14363126.pdf 179.46 MB
│东亚同文书院中国调查手稿丛刊 11_14363127.pdf 189.05 MB
│东亚同文书院中国调查手稿丛刊 12_14363128.pdf 194.67 MB
│东亚同文书院中国调查手稿丛刊 13_14363129.pdf 212.99 MB
│东亚同文书院中国调查手稿丛刊 14_14363130.pdf 204.88 MB
│东亚同文书院中国调查手稿丛刊 15_14363131.pdf 228.75 MB
│东亚同文书院中国调查手稿丛刊 16_14363132.pdf 220.79 MB
│东亚同文书院中国调查手稿丛刊 17_14363133.pdf 231.20 MB
│东亚同文书院中国调查手稿丛刊 18_14363134.pdf 208.30 MB
│东亚同文书院中国调查手稿丛刊 19_14363135.pdf 211.78 MB
│东亚同文书院中国调查手稿丛刊 20_14363136.pdf 216.98 MB
│东亚同文书院中国调查手稿丛刊 21_14363137.pdf 210.84 MB
├─东亚同文书院中国调查手稿丛刊-02 (0 folders, 20 files, 4.16 GB, 4.16 GB in total.)
│东亚同文书院中国调查手稿丛刊 22_14363138.pdf 201.34 MB
│东亚同文书院中国调查手稿丛刊 23_14363139.pdf 187.85 MB
│东亚同文书院中国调查手稿丛刊 24_14363140.pdf 209.10 MB
│东亚同文书院中国调查手稿丛刊 25_14363141.pdf 203.30 MB
│东亚同文书院中国调查手稿丛刊 26_14363142.pdf 194.72 MB
│东亚同文书院中国调查手稿丛刊 27_14363143.pdf 165.70 MB
│东亚同文书院中国调查手稿丛刊 28_14363144.pdf 212.18 MB
│东亚同文书院中国调查手稿丛刊 29_14363145.pdf 237.34 MB
│东亚同文书院中国调查手稿丛刊 30_14363146.pdf 232.78 MB
│东亚同文书院中国调查手稿丛刊 31_14363147.pdf 235.60 MB
│东亚同文书院中国调查手稿丛刊 32_14363148.pdf 226.84 MB
│东亚同文书院中国调查手稿丛刊 33_14363149.pdf 225.78 MB
│东亚同文书院中国调查手稿丛刊 34_14363150.pdf 224.12 MB
│东亚同文书院中国调查手稿丛刊 35_14363151.pdf 220.85 MB
│东亚同文书院中国调查手稿丛刊 36_14363152.pdf 221.03 MB
│东亚同文书院中国调查手稿丛刊 37_14363153.pdf 219.64 MB
│东亚同文书院中国调查手稿丛刊 38_14363154.pdf 227.88 MB
│东亚同文书院中国调查手稿丛刊 39_14363155.pdf 202.23 MB
│东亚同文书院中国调查手稿丛刊 40_14363156.pdf 199.66 MB
│东亚同文书院中国调查手稿丛刊 41_14363157.pdf 206.96 MB
├─东亚同文书院中国调查手稿丛刊-03 (0 folders, 23 files, 4.21 GB, 4.21 GB in total.)
│东亚同文书院中国调查手稿丛刊 42_14363158.pdf 193.70 MB
│东亚同文书院中国调查手稿丛刊 43_14363159.pdf 172.51 MB
│东亚同文书院中国调查手稿丛刊 44_14363160.pdf 184.91 MB
│东亚同文书院中国调查手稿丛刊 45_14363161.pdf 199.57 MB
│东亚同文书院中国调查手稿丛刊 46_14363162.pdf 165.76 MB
│东亚同文书院中国调查手稿丛刊 47_14363163.pdf 174.30 MB
│东亚同文书院中国调查手稿丛刊 48_14363164.pdf 203.21 MB
│东亚同文书院中国调查手稿丛刊 49_14363165.pdf 197.39 MB
│东亚同文书院中国调查手稿丛刊 50_14363166.pdf 201.71 MB
│东亚同文书院中国调查手稿丛刊 51_14363167.pdf 215.38 MB
│东亚同文书院中国调查手稿丛刊 52_14363168.pdf 226.14 MB
│东亚同文书院中国调查手稿丛刊 53_14363169.pdf 167.99 MB
│东亚同文书院中国调查手稿丛刊 54_14363170.pdf 185.25 MB
│东亚同文书院中国调查手稿丛刊 55_14363171.pdf 203.25 MB
│东亚同文书院中国调查手稿丛刊 56_14363172.pdf 191.33 MB
│东亚同文书院中国调查手稿丛刊 57_14363173.pdf 197.66 MB
│东亚同文书院中国调查手稿丛刊 58_14363174.pdf 189.89 MB
│东亚同文书院中国调查手稿丛刊 59_14363175.pdf 170.84 MB
│东亚同文书院中国调查手稿丛刊 60_14363176.pdf 177.38 MB
│东亚同文书院中国调查手稿丛刊 61_14363177.pdf 153.82 MB
│东亚同文书院中国调查手稿丛刊 62_14363178.pdf 186.06 MB
│东亚同文书院中国调查手稿丛刊 63_14363179.pdf 189.04 MB
│东亚同文书院中国调查手稿丛刊 64_14363180.pdf 163.09 MB
├─东亚同文书院中国调查手稿丛刊-04 (0 folders, 25 files, 4.16 GB, 4.16 GB in total.)
│东亚同文书院中国调查手稿丛刊 65_14363181.pdf 156.81 MB
│东亚同文书院中国调查手稿丛刊 66_14363182.pdf 144.72 MB
│东亚同文书院中国调查手稿丛刊 67_14363183.pdf 129.08 MB
│东亚同文书院中国调查手稿丛刊 68_14363184.pdf 174.74 MB
│东亚同文书院中国调查手稿丛刊 69_14363185.pdf 137.02 MB
│东亚同文书院中国调查手稿丛刊 70_14363186.pdf 151.13 MB
│东亚同文书院中国调查手稿丛刊 71_14363187.pdf 134.39 MB
│东亚同文书院中国调查手稿丛刊 72_14363188.pdf 151.89 MB
│东亚同文书院中国调查手稿丛刊 73_14363189.pdf 168.28 MB
│东亚同文书院中国调查手稿丛刊 74_14363190.pdf 170.49 MB
│东亚同文书院中国调查手稿丛刊 75_14363191.pdf 157.25 MB
│东亚同文书院中国调查手稿丛刊 76_14363192.pdf 160.21 MB
│东亚同文书院中国调查手稿丛刊 77_14363193.pdf 177.74 MB
│东亚同文书院中国调查手稿丛刊 78_14363194.pdf 162.00 MB
│东亚同文书院中国调查手稿丛刊 79_14363195.pdf 206.49 MB
│东亚同文书院中国调查手稿丛刊 80_14363196.pdf 196.05 MB
│东亚同文书院中国调查手稿丛刊 81_14363197.pdf 210.82 MB
│东亚同文书院中国调查手稿丛刊 82_14363198.pdf 198.43 MB
│东亚同文书院中国调查手稿丛刊 83_14363199.pdf 192.33 MB
│东亚同文书院中国调查手稿丛刊 84_14363200.pdf 196.50 MB
│东亚同文书院中国调查手稿丛刊 85_14363201.pdf 202.52 MB
│东亚同文书院中国调查手稿丛刊 86_14363202.pdf 182.75 MB
│东亚同文书院中国调查手稿丛刊 87_14363203.pdf 167.54 MB
│东亚同文书院中国调查手稿丛刊 88_14363204.pdf 162.99 MB
│东亚同文书院中国调查手稿丛刊 89_14363205.pdf 171.59 MB
├─东亚同文书院中国调查手稿丛刊-05 (0 folders, 22 files, 4.13 GB, 4.13 GB in total.)
│东亚同文书院中国调查手稿丛刊 090_14363206.pdf 187.19 MB
│东亚同文书院中国调查手稿丛刊 091_14363207.pdf 211.29 MB
│东亚同文书院中国调查手稿丛刊 092_14363208.pdf 171.92 MB
│东亚同文书院中国调查手稿丛刊 093_14363209.pdf 206.84 MB
│东亚同文书院中国调查手稿丛刊 094_14363210.pdf 223.04 MB
│东亚同文书院中国调查手稿丛刊 095_14363211.pdf 215.62 MB
│东亚同文书院中国调查手稿丛刊 096_14363212.pdf 192.81 MB
│东亚同文书院中国调查手稿丛刊 097_14363213.pdf 198.02 MB
│东亚同文书院中国调查手稿丛刊 098_14363214.pdf 181.03 MB
│东亚同文书院中国调查手稿丛刊 099_14363215.pdf 173.64 MB
│东亚同文书院中国调查手稿丛刊 100_14363216.pdf 178.84 MB
│东亚同文书院中国调查手稿丛刊 101_14363217.pdf 234.68 MB
│东亚同文书院中国调查手稿丛刊 102_14363218.pdf 212.26 MB
│东亚同文书院中国调查手稿丛刊 103_14363219.pdf 169.84 MB
│东亚同文书院中国调查手稿丛刊 104_14363220.pdf 205.40 MB
│东亚同文书院中国调查手稿丛刊 105_14363221.pdf 190.38 MB
│东亚同文书院中国调查手稿丛刊 106_14363222.pdf 158.82 MB
│东亚同文书院中国调查手稿丛刊 107_14363223.pdf 216.89 MB
│东亚同文书院中国调查手稿丛刊 108_14363224.pdf 172.74 MB
│东亚同文书院中国调查手稿丛刊 109_14363225.pdf 178.79 MB
│东亚同文书院中国调查手稿丛刊 110_14363226.pdf 175.41 MB
│东亚同文书院中国调查手稿丛刊 111_14363227.pdf 171.14 MB
├─东亚同文书院中国调查手稿丛刊-06 (0 folders, 22 files, 4.09 GB, 4.09 GB in total.)
│东亚同文书院中国调查手稿丛刊 112_14363228.pdf 190.47 MB
│东亚同文书院中国调查手稿丛刊 113_14363229.pdf 213.07 MB
│东亚同文书院中国调查手稿丛刊 114_14363230.pdf 176.88 MB
│东亚同文书院中国调查手稿丛刊 115_14363231.pdf 165.95 MB
│东亚同文书院中国调查手稿丛刊 116_14363232.pdf 169.60 MB
│东亚同文书院中国调查手稿丛刊 117_14363233.pdf 186.56 MB
│东亚同文书院中国调查手稿丛刊 118_14363234.pdf 166.54 MB
│东亚同文书院中国调查手稿丛刊 119_14363235.pdf 192.04 MB
│东亚同文书院中国调查手稿丛刊 120_14363236.pdf 195.05 MB
│东亚同文书院中国调查手稿丛刊 121_14363237.pdf 203.57 MB
│东亚同文书院中国调查手稿丛刊 122_14363238.pdf 178.45 MB
│东亚同文书院中国调查手稿丛刊 123_14363239.pdf 185.33 MB
│东亚同文书院中国调查手稿丛刊 124_14363240.pdf 211.25 MB
│东亚同文书院中国调查手稿丛刊 125_14363241.pdf 204.78 MB
│东亚同文书院中国调查手稿丛刊 126_14363242.pdf 195.61 MB
│东亚同文书院中国调查手稿丛刊 127_14363243.pdf 193.35 MB
│东亚同文书院中国调查手稿丛刊 128_14363244.pdf 197.34 MB
│东亚同文书院中国调查手稿丛刊 129_14363245.pdf 201.14 MB
│东亚同文书院中国调查手稿丛刊 130_14363246.pdf 197.46 MB
│东亚同文书院中国调查手稿丛刊 131_14363247.pdf 190.91 MB
│东亚同文书院中国调查手稿丛刊 132_14363248.pdf 198.47 MB
│东亚同文书院中国调查手稿丛刊 133_14363249.pdf 179.09 MB
├─东亚同文书院中国调查手稿丛刊-07 (0 folders, 23 files, 4.17 GB, 4.17 GB in total.)
│东亚同文书院中国调查手稿丛刊 134_14363250.pdf 202.06 MB
│东亚同文书院中国调查手稿丛刊 135_14363251.pdf 189.42 MB
│东亚同文书院中国调查手稿丛刊 136_14363252.pdf 223.83 MB
│东亚同文书院中国调查手稿丛刊 137_14363253.pdf 216.98 MB
│东亚同文书院中国调查手稿丛刊 138_14363254.pdf 205.43 MB
│东亚同文书院中国调查手稿丛刊 139_14363255.pdf 223.87 MB
│东亚同文书院中国调查手稿丛刊 140_14363256.pdf 218.66 MB
│东亚同文书院中国调查手稿丛刊 141_14363257.pdf 207.45 MB
│东亚同文书院中国调查手稿丛刊 142_14363258.pdf 214.56 MB
│东亚同文书院中国调查手稿丛刊 143_14363259.pdf 205.40 MB
│东亚同文书院中国调查手稿丛刊 144_14363260.pdf 182.13 MB
│东亚同文书院中国调查手稿丛刊 145_14363261.pdf 211.00 MB
│东亚同文书院中国调查手稿丛刊 146_14363262.pdf 171.63 MB
│东亚同文书院中国调查手稿丛刊 147_14363263.pdf 212.30 MB
│东亚同文书院中国调查手稿丛刊 148_14363264.pdf 147.10 MB
│东亚同文书院中国调查手稿丛刊 149_14363265.pdf 150.17 MB
│东亚同文书院中国调查手稿丛刊 150_14363266.pdf 150.88 MB
│东亚同文书院中国调查手稿丛刊 151_14363267.pdf 143.09 MB
│东亚同文书院中国调查手稿丛刊 152_14363268.pdf 140.03 MB
│东亚同文书院中国调查手稿丛刊 153_14363269.pdf 162.26 MB
│东亚同文书院中国调查手稿丛刊 154_14363270.pdf 156.18 MB
│东亚同文书院中国调查手稿丛刊 155_14363271.pdf 182.44 MB
│东亚同文书院中国调查手稿丛刊 156_14363272.pdf 150.81 MB
├─东亚同文书院中国调查手稿丛刊-08 (0 folders, 23 files, 3.92 GB, 3.92 GB in total.)
│东亚同文书院中国调查手稿丛刊 157_14363273.pdf 169.97 MB
│东亚同文书院中国调查手稿丛刊 158_14363274.pdf 183.88 MB
│东亚同文书院中国调查手稿丛刊 159_14363275.pdf 169.46 MB
│东亚同文书院中国调查手稿丛刊 160_14363276.pdf 162.13 MB
│东亚同文书院中国调查手稿丛刊 161_14363277.pdf 143.47 MB
│东亚同文书院中国调查手稿丛刊 162_14363278.pdf 150.77 MB
│东亚同文书院中国调查手稿丛刊 163_14363279.pdf 159.81 MB
│东亚同文书院中国调查手稿丛刊 164_14363280.pdf 145.10 MB
│东亚同文书院中国调查手稿丛刊 165_14363281.pdf 160.38 MB
│东亚同文书院中国调查手稿丛刊 166_14363282.pdf 160.59 MB
│东亚同文书院中国调查手稿丛刊 167_14363283.pdf 184.85 MB
│东亚同文书院中国调查手稿丛刊 168_14363284.pdf 143.89 MB
│东亚同文书院中国调查手稿丛刊 169_14363285.pdf 163.62 MB
│东亚同文书院中国调查手稿丛刊 170_14363286.pdf 182.53 MB
│东亚同文书院中国调查手稿丛刊 171_14363287.pdf 217.30 MB
│东亚同文书院中国调查手稿丛刊 172_14363288.pdf 191.31 MB
│东亚同文书院中国调查手稿丛刊 173_14363289.pdf 214.70 MB
│东亚同文书院中国调查手稿丛刊 174_14363290.pdf 202.89 MB
│东亚同文书院中国调查手稿丛刊 175_14363291.pdf 191.39 MB
│东亚同文书院中国调查手稿丛刊 176_14363292.pdf 196.27 MB
│东亚同文书院中国调查手稿丛刊 177_14363293.pdf 169.04 MB
│东亚同文书院中国调查手稿丛刊 178_14363294.pdf 186.95 MB
│东亚同文书院中国调查手稿丛刊 179_14363295.pdf 164.25 MB
└─东亚同文书院中国调查手稿丛刊-09 (0 folders, 21 files, 3.38 GB, 3.38 GB in total.)
东亚同文书院中国调查手稿丛刊 180_14363296.pdf 170.22 MB
东亚同文书院中国调查手稿丛刊 181_14363297.pdf 192.05 MB
东亚同文书院中国调查手稿丛刊 182_14363298.pdf 171.92 MB
东亚同文书院中国调查手稿丛刊 183_14363299.pdf 162.61 MB
东亚同文书院中国调查手稿丛刊 184_14363300.pdf 158.31 MB
东亚同文书院中国调查手稿丛刊 185_14363301.pdf 162.40 MB
东亚同文书院中国调查手稿丛刊 186_14363302.pdf 156.96 MB
东亚同文书院中国调查手稿丛刊 187_14363303.pdf 147.03 MB
东亚同文书院中国调查手稿丛刊 188_14363304.pdf 143.60 MB
东亚同文书院中国调查手稿丛刊 189_14363305.pdf 172.51 MB
东亚同文书院中国调查手稿丛刊 190_14363306.pdf 155.63 MB
东亚同文书院中国调查手稿丛刊 191_14363307.pdf 144.84 MB
东亚同文书院中国调查手稿丛刊 192_14363308.pdf 141.58 MB
东亚同文书院中国调查手稿丛刊 193_14363309.pdf 176.86 MB
东亚同文书院中国调查手稿丛刊 194_14363310.pdf 173.19 MB
东亚同文书院中国调查手稿丛刊 195_14363311.pdf 142.26 MB
东亚同文书院中国调查手稿丛刊 196_14363312.pdf 159.53 MB
东亚同文书院中国调查手稿丛刊 197_14363313.pdf 153.34 MB
东亚同文书院中国调查手稿丛刊 198_14363314.pdf 168.78 MB
东亚同文书院中国调查手稿丛刊 199_14363315.pdf 203.25 MB
东亚同文书院中国调查手稿丛刊 200_14363316.pdf 208.30 MB

 
 
返回首页
 
----
联系QQ:83790508,联系微信:zx135cn
2025----2035