网罗天下图书 传承中华文明
     
为读者找书,为书找读者.... 本馆宗旨--传承中华文化!
 
联系QQ:83790508,联系微信:zx135cn
 
| 网站首页 | 史料文献 | 常用软件 | 联系我们 |
 
 

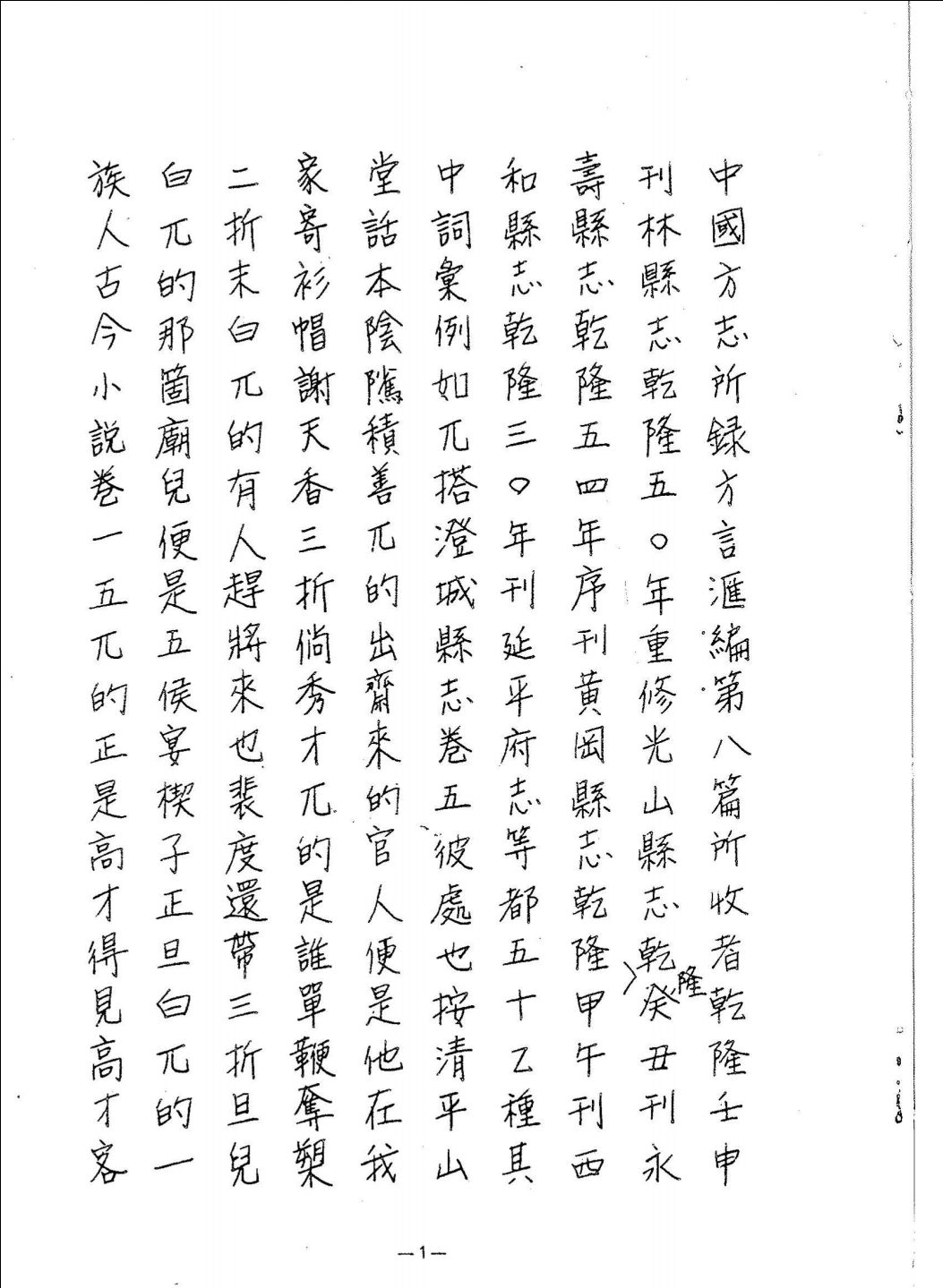
中国方志所录方言汇编

 

介绍


中国方志所录方言汇编(共9册)

资料编号:KW7023

文件格式:pdf

文件大小:2.78G

作者:波多野太郎

出版社:横滨市立大学

出版时间:1974

目录介绍如下:

001中国方志所录方言汇编一.pdf 153.42 MB
002中国方志所录方言汇编二.pdf 579.66 MB
003中国方志所录方言汇编三.pdf 527.57 MB
004中国方志所录方言汇编四.pdf 681.40 MB
005中国方志所录方言汇编五.pdf 232.15 MB
006中国方志所录方言汇编六.pdf 180.61 MB
007中国方志所录方言汇编七(基本是从後向前翻,仍然要以页码为准).pdf 172.00 MB
008中国方志所录方言汇编八.pdf 179.46 MB
009中国方志所录方言汇编九.pdf 135.27 MB
010中国方志所录方言汇编_第一篇至第九篇总目录.caj 144.21 KB

 
 
返回首页
 
----
联系QQ:83790508,联系微信:zx135cn
2025----2035