网罗天下图书 传承中华文明
     
为读者找书,为书找读者.... 本馆宗旨--传承中华文化!
 
联系QQ:83790508,联系微信:zx135cn
 
| 网站首页 | 史料文献 | 常用软件 | 联系我们 |
 
 

民国西北、西南考察报告合集

 

介绍


民国西北、西南考察报告合集(共202册)

资料编号:KW6886

文件格式:pdf

文件大小:22.9G

版本:收集的综合版本

目录介绍如下:

├─民国西北、西南考察报告合集-001 (0 folders, 25 files, 3.95 GB, 3.95 GB in total.)
│001 (陕西)财政说明书.pdf 589.69 MB
│002 (四川)经济学说明书.pdf 68.43 MB
│003 (新疆)财政说明书.pdf 97.68 MB
│004 (云南)财政说明书.pdf 464.06 MB
│005 八省旅行见闻录.pdf 126.40 MB
│006 边疆问题论文集.pdf 302.48 MB
│007 边区行之一滇康道上.pdf 146.25 MB
│008 边区问题之理论与实际.pdf 60.79 MB
│009 边政.pdf 218.57 MB
│010 边政论丛.pdf 128.48 MB
│011 採集广西猺山报告及请闢猺山为学术研究所意见书.pdf 12.08 MB
│012 藏边采风记.pdf 76.88 MB
│013 藏苗两区采风录.pdf 48.82 MB
│014 成都社会特写.pdf 27.46 MB
│015 筹藏政策.pdf 68.08 MB
│016 川滇联合会简章.pdf 8.30 MB
│017 川康专号.pdf 147.62 MB
│018 川缅纪行.pdf 36.83 MB
│019 川西南记游.pdf 118.49 MB
│020 川西调查记.pdf 111.96 MB
│021 川盐纪要.pdf 683.27 MB
│022 川灾视察记.pdf 46.79 MB
│023 大凉山夷区考察记.pdf 205.88 MB
│024 大小凉山开发方案.pdf 14.06 MB
│025 大小凉山倮族通考.pdf 234.10 MB
├─民国西北、西南考察报告合集-002 (0 folders, 36 files, 3.83 GB, 3.83 GB in total.)
│026 到西北来.pdf 134.53 MB
│027 滇黔专号.pdf 84.68 MB
│028 滇事危言初集.pdf 139.53 MB
│029 丁玲在西北.pdf 31.22 MB
│030 敦煌石室访书记.pdf 107.26 MB
│031 峨眉山.pdf 149.87 MB
│032 峨嵋游记.pdf 67.64 MB
│033 鄂托克富源调查记.pdf 83.00 MB
│034 房山游记汇编.pdf 111.30 MB
│035 飞跃中的西南建设.pdf 69.34 MB
│036 甘青藏边区考察记(第一编).pdf 124.37 MB
│037 甘肃考古记.pdf 109.98 MB
│038 甘肃省.pdf 51.53 MB
│039 甘肃省一瞥.pdf 61.22 MB
│040 关中胜迹图志(一).pdf 332.28 MB
│041 广西矿产之分布与矿业之状况.pdf 27.59 MB
│042 广西省立博物馆三年工作进行计划纲要.pdf 22.72 MB
│043 广西省县行政关系.pdf 82.14 MB
│044 广西省象县东南乡花蓝徭社会组织.pdf 75.76 MB
│045 广西西南部地质矿产.pdf 27.76 MB
│046 广西猺山鸟类之研究.pdf 37.56 MB
│047 贵州革命与建设.pdf 51.59 MB
│048 贵州省赈务汇刊.pdf 315.22 MB
│049 后方重要工矿产品第二次统计(经济统计丛刊第五种).pdf 82.66 MB
│050 湖南的西北角.pdf 127.33 MB
│051 环海倚松楼西北丛编上编日记三四两卷.pdf 291.90 MB
│052 建设中国西部写议.pdf 23.26 MB
│053 今日新疆.pdf 72.06 MB
│054 近西游副记.pdf 126.48 MB
│055 泾惠渠.pdf 21.50 MB
│056 泾惠渠农村概况.pdf 23.79 MB
│057 景教碑考.pdf 51.11 MB
│058 居延海.pdf 147.39 MB
│059 康藏.pdf 55.29 MB
│060 刘自乾先生建设新西康十讲.pdf 444.69 MB
│061 六省纪游.pdf 151.36 MB
├─民国西北、西南考察报告合集-003 (0 folders, 34 files, 3.92 GB, 3.92 GB in total.)
│062 陇海铁路旅行指南.pdf 223.47 MB
│063 罗戴祸川纪实.pdf 104.98 MB
│064 洛阳.pdf 60.56 MB
│065 旅藏二十年.pdf 200.71 MB
│066 旅居祖国后藏同乡为贡觉仲尼等捏造民意诡词淆惑据理斥驳文.pdf 17.95 MB
│067 宁夏省建设汇刊.pdf 289.90 MB
│068 宁夏省考察记.pdf 93.17 MB
│069 黔滇川旅行记.pdf 128.57 MB
│070 羌戎考察记.pdf 119.40 MB
│071 秦嶺山及四川之地质研究.pdf 268.36 MB
│072 青峨游记.pdf 129.34 MB
│073 青海省中部荒区调查报告.pdf 51.61 MB
│074 全川自治联合会章程.pdf 55.64 MB
│075 三十年来之西康教育(上).pdf 42.23 MB
│076 陕北油母页岩地质.pdf 21.69 MB
│077 陕北之行.pdf 51.89 MB
│078 陕变与全国舆论.pdf 101.02 MB
│079 陕西交通挈要2编.pdf 169.79 MB
│080 陕西省农村调查.pdf 110.19 MB
│081 陕西谣谚初集.pdf 83.59 MB
│082 十年来贵州经济建设.pdf 307.72 MB
│083 实际开发西北的初步.pdf 31.29 MB
│084 蜀道.pdf 159.10 MB
│085 蜀道散记.pdf 56.55 MB
│086 蜀南三种.pdf 82.02 MB
│087 蜀西北纪行.pdf 61.42 MB
│088 思普沿边开业方案.pdf 37.57 MB
│089 斯坦因西域考古记.pdf 491.42 MB
│090 四川边区各民族之人口数字.pdf 27.63 MB
│091 四川蚕丝产销 调查报告.pdf 141.91 MB
│092 四川畜产.pdf 128.62 MB
│093 四川的孩子.pdf 57.66 MB
│094 四川嘉陵江下游鱼类之调查.pdf 5.87 MB
│095 四川经济地图集说明.pdf 103.67 MB
├─民国西北、西南考察报告合集-004 (0 folders, 40 files, 4.00 GB, 4.00 GB in total.)
│096 四川煤业调查威煤访问记.pdf 36.31 MB
│097 四川南部古兰琪县间地质矿产.pdf 49.42 MB
│098 四川农场经营.pdf 43.50 MB
│099 四川农牧调查报告.pdf 93.66 MB
│100 四川绅士和湖南女伶.pdf 97.50 MB
│101 四川省农村物价.pdf 126.70 MB
│102 四川省农业金融.pdf 81.31 MB
│103 四川省之山货(上卷).pdf 69.55 MB
│104 四川省之糖.pdf 37.58 MB
│105 四川省之桐油.pdf 50.67 MB
│106 四川省主要食粮作物生产成本.pdf 63.94 MB
│107 四川新地志.pdf 261.27 MB
│108 四川主要粮食之运销.pdf 101.25 MB
│109 四川租佃制度.pdf 39.25 MB
│110 调查河套报告书.pdf 463.57 MB
│111 外国记者眼中的延安及解放区.pdf 69.78 MB
│112 汶川图说.pdf 37.75 MB
│113 西北.pdf 16.94 MB
│114 西北导游.pdf 129.27 MB
│115 西北地理.pdf 311.59 MB
│116 西北革命史徵.pdf 79.18 MB
│117 西北公路交通要览(第一版).pdf 71.48 MB
│118 西北行(第二集).pdf 182.22 MB
│119 西北行.pdf 93.80 MB
│120 西北汇刊.pdf 10.96 MB
│121 西北漫游记.pdf 107.52 MB
│122 西北民歌集第二册.pdf 60.98 MB
│123 西北民歌集第一册.pdf 55.29 MB
│124 西北农业考察.pdf 158.51 MB
│125 西北前影.pdf 97.54 MB
│126 西北青年第一次救国代表大会文献.pdf 19.46 MB
│127 西北问题图书目录.pdf 54.02 MB
│128 西北盐产调查实录.pdf 117.22 MB
│129 西北远行记.pdf 68.31 MB
│130 西藏情歌.pdf 12.99 MB
│131 西防纪实.pdf 179.34 MB
│132 西行见闻记.pdf 190.01 MB
│133 西行漫影.pdf 53.08 MB
│134 西行日记.pdf 181.98 MB
│135 西行杂记.pdf 117.80 MB
├─民国西北、西南考察报告合集-005 (0 folders, 34 files, 3.96 GB, 3.96 GB in total.)
│136 西疆备乘.pdf 174.41 MB
│137 西京.pdf 61.36 MB
│138 西京碑林藏石目录.pdf 25.42 MB
│139 西京访古丛稿.pdf 119.17 MB
│140 西京快览.pdf 191.34 MB
│141 西康剪影.pdf 34.89 MB
│142 西康建省委员会办事细则.pdf 10.91 MB
│143 西康社会之鸟瞰.pdf 63.66 MB
│144 西康省寗属屯垦委员会两年来工作报告.pdf 60.25 MB
│145 西康综览.pdf 299.37 MB
│146 西南东北.pdf 136.87 MB
│147 西南国防论.pdf 124.82 MB
│148 西南六省社会经济之鸟瞰.pdf 58.10 MB
│149 西南旅行杂写.pdf 217.03 MB
│150 西南漫游记.pdf 138.67 MB
│151 西南夷族考察记.pdf 45.01 MB
│152 新疆古城探险记.pdf 114.35 MB
│153 新疆经营论.pdf 115.55 MB
│154 新疆鸟瞰.pdf 172.21 MB
│155 新疆问题.pdf 18.86 MB
│156 新疆印象记.pdf 181.69 MB
│157 新疆游记.pdf 115.51 MB
│158 延安归来.pdf 20.11 MB
│159 延安生活.pdf 25.95 MB
│160 徭山散记.pdf 86.93 MB
│161 跃进中的西北.pdf 149.25 MB
│162 云南边地问题研究(上卷).pdf 352.31 MB
│163 云南边地问题研究(下卷).pdf 319.54 MB
│164 云南的国防价值.pdf 57.67 MB
│165 云南对外贸易概观(上).pdf 144.71 MB
│166 云南对于修改中法越南边界通商章程之意见及办理经过情形.pdf 65.74 MB
│167 云南个旧附近地质矿务报告.pdf 50.88 MB
│168 云南省地政局工作报告.pdf 24.94 MB
│169 云南游记.pdf 277.69 MB
└─民国西北、西南考察报告合集-006 (0 folders, 33 files, 3.31 GB, 3.31 GB in total.)
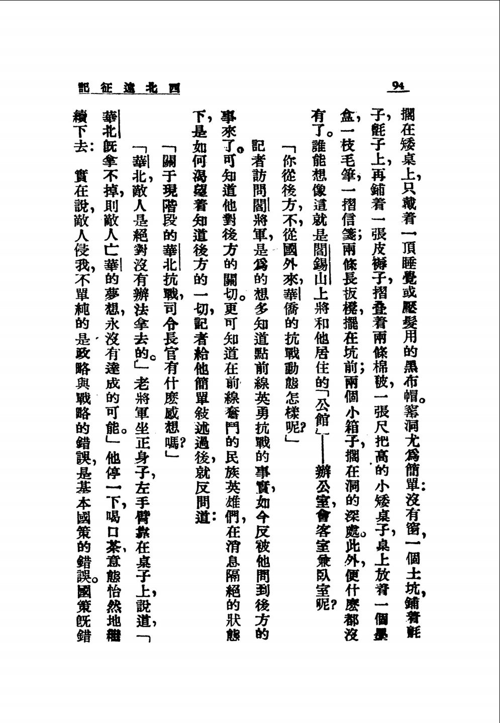
170 战怒江.pdf 92.64 MB
171 战时西南.pdf 125.41 MB
172 长江三峡水利工程计划.pdf 29.44 MB
173 中国县制改造.pdf 299.32 MB
174 重庆市之棉织工业.pdf 93.27 MB
175 重庆消息.pdf 20.78 MB
176 最近西南经济概况.pdf 18.01 MB
177 川西北步行记.pdf 59.80 MB
178 甘青藏边区考察记_11310653.pdf 214.74 MB
179 河海昆仑录_12157570.pdf 120.28 MB
180 蒙新甘宁考察记_11310670.pdf 109.39 MB
181 宁海纪行_10853890 .pdf 99.25 MB
182 唐五代西北方音.pdf 98.63 MB
183 西北的剖面_11310667.pdf 85.52 MB
184 185西北行.pdf 109.55 MB
185 西北行_11427075 .pdf 102.30 MB
186 西北考察日记_10853885 .pdf 108.65 MB
187 西北历程_11310669.pdf 70.77 MB
188 西北漫游记 青海考察记_11998078.pdf 89.58 MB
189 西北视察记_11426907 .pdf 161.25 MB
190 西北随轺记_12558724.pdf 98.43 MB
191 西北游牧藏区之社会调查(俞湘文著 1947年01月第1版168页 ).pdf 84.91 MB
192 西北远征记_12430818.pdf 104.81 MB
193 西藏民間故事 (上海世界書局)(中華民國二十年五月).pdf 62.51 MB
194 西行记_11310668.pdf 55.60 MB
195 西行见闻记_12558718.pdf 60.66 MB
196 西行日记_10853882 .pdf 88.24 MB
197 西游小记_12204541.pdf 88.24 MB
198 西征续录_10853889 .pdf 100.64 MB
199 辛卯侍行记_10853891 .pdf 198.94 MB
200 新疆游记_11999795.pdf 178.49 MB
201 徐旭生西游日记__徐旭生著.pdf 126.29 MB
202 在昆明的時候.pdf 36.30 MB

 
 
返回首页
 
----
联系QQ:83790508,联系微信:zx135cn
2025----2035