网罗天下图书 传承中华文明
     
为读者找书,为书找读者.... 本馆宗旨--传承中华文化!
 
联系QQ:83790508,联系微信:zx135cn
 
| 网站首页 | 史料文献 | 常用软件 | 联系我们 |
 
 

故宫藏画大系

 

介绍


故宫藏画大系(全16册)

资料编号:KW6560

文件格式:pdf

文件大小:2.79G

作者:江兆坤/国立故宫博物院编辑委员会

出版社:国立故宫博物院

出版时间:1993

简介

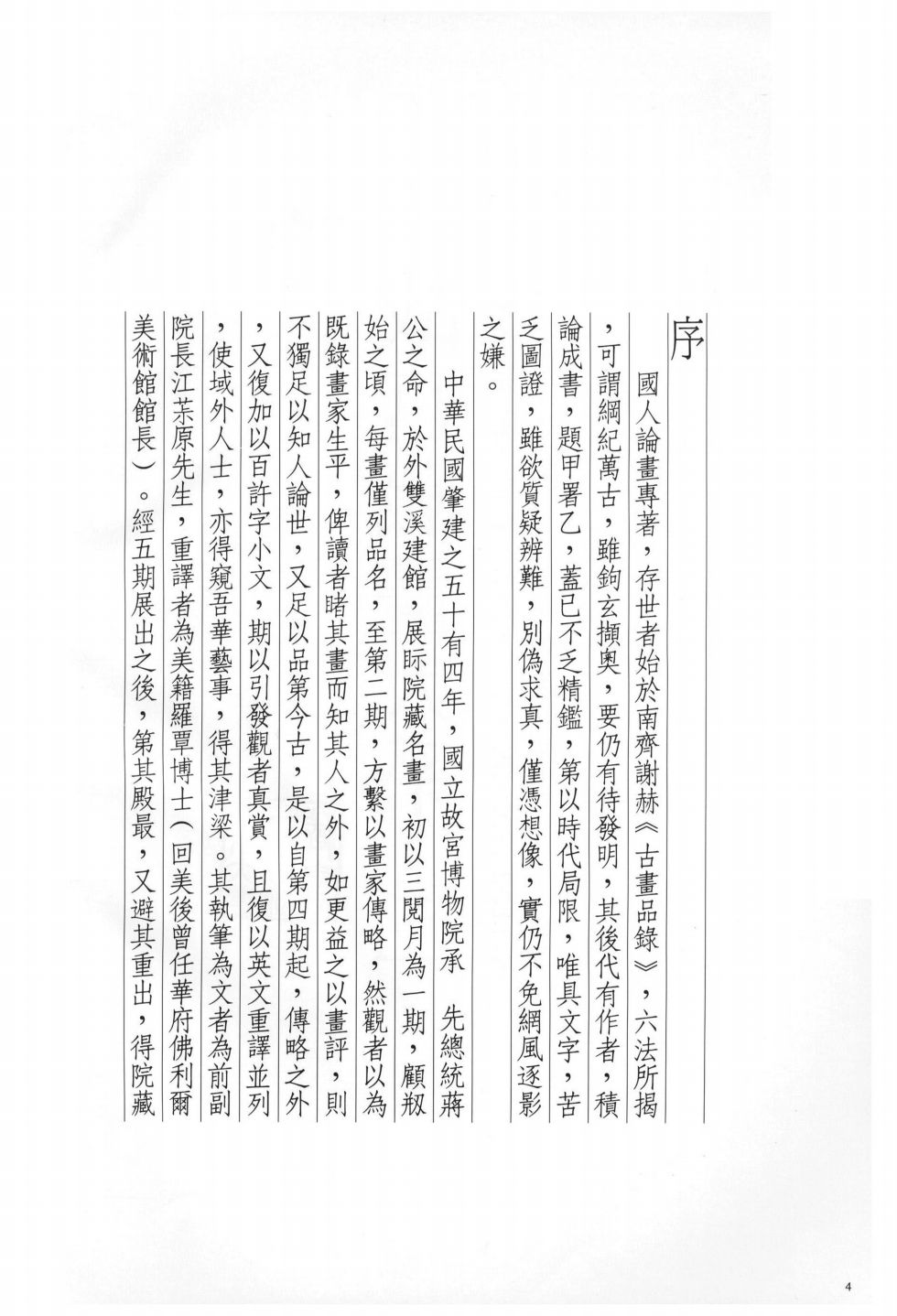
台北故宫博物院历年来出版之名画欣赏以本书为最。选入此系列之名画,乃自院藏珍品中,千百选一,件件精品,彩色大幅影印,且局部放大精微奥妙之处。皇皇巨构,历历在目,精彩绝伦,正所谓仅次真迹一等而已。

目录介绍如下:

故宫藏画大系-01.pdf 180.64 MB
故宫藏画大系-02.pdf 176.76 MB
故宫藏画大系-03.pdf 174.05 MB
故宫藏画大系-04.pdf 192.29 MB
故宫藏画大系-05.pdf 182.23 MB
故宫藏画大系-06.pdf 177.27 MB
故宫藏画大系-07.pdf 181.52 MB
故宫藏画大系-08.pdf 179.53 MB
故宫藏画大系-09.pdf 159.74 MB
故宫藏画大系-10.pdf 175.13 MB
故宫藏画大系-11.pdf 239.95 MB
故宫藏画大系-12.pdf 196.52 MB
故宫藏画大系-13.pdf 128.87 MB
故宫藏画大系-14.pdf 131.91 MB
故宫藏画大系-15.pdf 188.25 MB
故宫藏画大系-16.pdf 194.55 MB

 
 
返回首页
 
----
联系QQ:83790508,联系微信:zx135cn
2025----2035